| SENIOR FACILITY AGREEMENT Amongst NEDBANK LIMITED (acting through its NEDBANKCAPITAL division) and HARMONY GOLD MINING COMPANY LIMITED and THE GUARANTORSLISTED IN SCHEDULE 2 DENEYS | REITZ ATTORNEYS |

| Table of Contents 1. PARTIES 1 2. DEFINITIONS AND INTERPRETATION 1 3. INTRODUCTION 24 4. CONDITIONS TO ADVANCE 25 5. FACILITY 26 6. PURPOSE 26 7. UTILISATION 26 8. INTEREST 29 9. REPAYMENT 29 10. PREPAYMENT 30 11. PAYMENTS 32 12. BREAKAGE COSTS AND BREAKAGE GAINS 34 13. ILLEGALITY 34 14. GUARANTEE AND INDEMNITY 35 15. WARRANTIES AND REPRESENTATIONS 38 16. FINANCIAL INFORMATION 49 17. POSITIVE UNDERTAKINGS 55 18. NEGATIVE UNDERTAKINGS 58 19. FINANCIAL COVENANT 19. FINANCIAL COVENANT 60 20. EVENTS OF DEFAULT 64 21. TAXES 71 22. TAX RECEIPTS 73 23. INCREASED COSTS 73 24. CERTIFICATE OF INDEBTEDNESS 75 25. SET-OFF 75 26. CHANGE OF PARTY 75 27. INTEREST ON ARREAR AMOUNTS AND INDEMNITY 80 28. FACILITY AGENT 81 29. CONFIDENTIALITY 85 30. FEES AND EXPENSES 88 31. NOTICES AND 90 DOMICILIA 32. GOVERNING LAW 92 33. JURISDICTION 93 34. SEVERABILITY 93 35. GENERAL 93 36. COUNTERPARTS 94 SCHEDULE 1 : CONDITIONS 103 SCHEDULE 2 : THE GUARANTORS 107 SCHEDULE 3 : DISCLOSED ENCUMBRANCES 108 SCHEDULE 4 : DISCLOSED INDEBTEDNESS 109 SCHEDULE 5 : DISCLOSED LOANS 111 SCHEDULE 6 : DISCLOSED POTENTIAL ENVIRONMENTAL CLAIM 112 SCHEDULE 7 : TRANSACTION SECURITY 113 SCHEDULE 8 : FORM OF COMPLIANCE CERTIFICATE 114 SCHEDULE 9 : FORM OF LENDER'S ACCESSION UNDERTAKING 116 |
| SCHEDULE 10 : AGREED FORM OF CESSION AND DELEGATIONAGREEMENT ...................................................... 118SCHEDULE 11 : FORM OF CONFIDENTIALITY UNDERTAKING 131SCHEDULE 12: PRO FORMA MANAGEMENT ACCOUNT .................................... 139SCHEDULE 13: LAST TAX RETURN YEAR 141 |

| TERM LOAN AGREEMENT1. PARTIES1.1 The Parties to this Agreement are:1.1.1 NEDBANK LIMITED (acting through its NEDBANK CAPITAL division);1.1.2 HARMONY GOLD MINING COMPANY LIMITED; and1.1.3 THE GUARANTORS AS LISTED IN SCHEDULE 2.1.2 The Parties agree as set out below.2. DEFINITIONS AND INTERPRETATION 2.1 The headings to the clauses and schedules of this Agreement areinserted for reference purposes only and shall in no way govern or affect theinterpretation hereof nor modify nor amplify the terms of this Agreement nor anyclause or schedule hereof. 2.2 Unless inconsistent with the context, the expressions set forthbelow shall bear the following meanings and cognate expressions shall bearcorresponding meanings:2.2.1 "Accession Undertaking" means in relation to a New Lender an undertaking substantially in theform set out in Schedule 9 (Form of Accession Undertakings);2.2.2 "Advance" means, save as otherwise provided hereto, the advance made or to be made by theLenders hereunder in the amount of R2 000 000 000 (two billion Rand); |

| Page 22.2.3 "Advance Condition Documents" means the documents listed in Part 1 of Schedule 1 (AdvanceCondition Documents); 2.2.4 "Advance Conditions" means the conditions to themaking of the Advance listed in Part 2 of Schedule 1 (Advance Conditions); 2.2.5 "Advance Date" means the day upon which the Lendersmake the Advance hereunder, being 28 September 2007 or such later date as may beagreed between the Parties in writing; 2.2.6 "Agreement" means this Senior Facility Agreement read together with the Scheduleshereto; 2.2.7 "Applicable Margin" means 2.75% (two comma seven five percent) nacm; 2.2.8 "ARMgold means African Rainbow Minerals Gold Limited (Registration No.1997/035869/06), a public company duly incorporated in accordancewith the company laws of South Africa;2.2.9 "Auditors" means the Borrower's auditors from time to time provided thatthe Borrower's auditors shall only, save with the prior written consent of theLenders, be any one or more of Deloitte & Touche, KPMG Inc., Ernst & Young orPricewaterhouseCoopers Inc.;2.2.10 "Authorised Signatory" means a person or persons duly authorised to bindthe Borrower in terms of this Agreement and in respect of whom the Borrowershall have delivered to the Lenders certified specimens of such person's orpersons' signature(s) together with evidence satisfactory to the Lenders thatsuch person is duly authorised to bind the Borrower;2.2.11 "Authorisation" means an authorisation, consent, approval, resolution,licence, exemption, filing, notarisation or registration, as the case may be; |

| Page 32.2.12 "Available Facility" means at any time and save as otherwise provided herein, R2 000 000 000(two billion Rand); 2.2.13 "Bank Costs" means the cost, expressed as apercentage (rounded to the second decimal place) and on a nacm rate basis, tothe Lenders in providing, maintaining or funding the Advance under the Facility,pursuant to any Law in force within the Republic of South Africa, which costshall be determined by the Original Lender at the commencement of each InterestPeriod and notified to the Borrower in writing and which costs shall not exceedthe costs that the Original Lender would incur if it remains the sole Lender; 2.2.14 "Borrower" means Harmony Gold Mining Company Limited (Registration No.1950/038232/06), a public company duly incorporatedin accordance with the company laws of South Africa;2.2.15 "Breakage Costs" means the amount (if any) by which;2.2.15.1 the interest (excluding the Applicable Margin) which a Lender shouldhave received for the period from the date of receipt of all or any part of itsparticipation in the Advance or Unpaid Sum to the last day of the currentInterest Period in respect of the Advance or Unpaid Sum, had the amount then dueor Unpaid Sum received been paid on the last day of that Interest Period;exceeds;2.2.15.2 the amount which that Lender would be able to obtain by placing anamount equal to the amount then due or Unpaid Sum received by it on deposit witha leading bank in the Johannesburg interbank market for a period starting on theBusiness Day following receipt or recovery and ending on the last day of thecurrent Interest Period; |

| Page 42.2.16 "Breakage Gains" means the amount (if any) by which: 2.2.16.1 the amount which that Lender would be able to obtain by placing an amountequal to the amount then due or Unpaid Sum received by iton deposit with a leading bank in the Johannesburg interbank marketfor a period starting on the Business Day following receipt or recovery and ending on the last day of the currentInterest Period;exceeds; 2.2.16.2 the interest which a Lender should have received for the period from the dateof receipt of all or any part of its participation in the Advance or Unpaid Sumto the last day of the current Interest Period in respect of the Advance orUnpaid Sum, had the amount then due or Unpaid Sum received been paid on the lastday of that Interest Period;2.2.17 "Business Day" means any day other than a Saturday, Sunday or an officialpublic holiday in South Africa (in accordance with the Public Holidays Act,1994) on which banks are open for business in South Africa;2.2.18 "Cash Consideration" shall have the meaning given to it in clause 10.3.2(Mandatory Prepayment: Disposal of South African Assets);2.2.19 "Cession and Delegation Agreement" means the written agreement so titledentered into between a Lender and a New Lender substantially in the form set outin Schedule 10 (Agreed Form of Cession and Delegation Agreement), or any otherform agreed to between the Borrower and the Facility Agent;2.2.20 "Companies Act" means the Companies Act, 1973; |

| Page 52.2.21 "Compliance Certificate" means a certificate substantially in the form of the letter set outin Schedule 8 (Form of Compliance Certificate); 2.2.22"Confidentiality Undertaking" means a confidentiality undertaking in the form set outin Schedule 11 (Form of Confidentiality Undertaking) orany other form agreed between the Borrower and the Facility Agent; 2.2.23"Constitutional Documents" means, in respect of any person at any time, the thencurrent and up-to-date constitutional documents of such person at such time(including, without limitation, such person's memorandum and articles ofassociation, certificate of incorporation and articles of incorporation);2.2.24 "Control" means in relation to a company the shares of which are notlisted on a stock exchange any one of the following, namely if anothercompany orlegal entity or person (whether alone or pursuant to an agreement wife others): 2.2.24.1 holds or controls more than 50% (fiftypercent) of the voting rights (takinginto account when such voting rights can be exercised) inthat company; or 2.2.24.2 has the right to appoint or remove the majority of that company's board ofdirectors; or 2.2.24.3 has the power to ensure the majority of that company's board of directors willact in accordance with its wishes;or if the shares of the company are listed on a stock exchange, "Control" means: 2.2.24.4 the holding of shares or the aggregate of holdings of shares or othersecurities in a company entitling the holder thereof to exercise, or |

| Page 6 cause to be exercised 35% (thirty-five percent) or more of the votingrights at shareholder meetings of the company irrespective of whether suchholding or holdings confers de facto control, provided that should there beother shareholders holding more than 35% (thirty-five percent), 35% (thirty-fivepercent) shall be read to refer to "the largest percentage shareholding held atthe time": or2.2.24.5 the holding or control by a shareholder or member alone or pursuant toan agreement with other shareholders or members of more than 35% (thirty-fivepercent) of the voting rights in the company irrespective of whether suchholding or holdings confers de facto control, provided that should there beother shareholders holding more than 35% (thirty-five percent), 35% (thirty-fivepercent) shall be read to refer to "the largest percentage shareholding held atthe time"; 2.2.25 "Default means an Event of Default or any event orcircumstances which would (with the expiry of a grace period, the giving ofnotice, the making of any determination under the Finance Documents or anycombination of the foregoing) be an Event of Default; 2.2.26 "Default Interest Rate" means the greater of the Prime Rate plus 2% (twopercent), the Repo Rate plus 2% (two percent), or the Interest Rateplus 2% (two percent); 2.2.27 "Deposit Account" means the bank account specified in clause 7.1 (Utilisation);2.2.28 "Discharge Date"' means the date on which:2.2.28.1 all the Liabilities (other than contingent liabilities in respect ofcontinuing indemnities under the Finance Documents under which no claim has beenmade and which remain undischarged and |

| Page 7payments which may be set aside in terms of clause 2.2.613) havebeen fully paid and discharged; and2.2.28.2 the Lenders have no commitment, obligation or liability (whether actualor contingent) to lend money or provide other financial accommodation to anyObligor under any Finance Document; 2.2.29 "Disposal" means a sale, lease, licence, transfer,loan or other disposal by a person of any asset, undertaking or business(whether by a voluntary or involuntary single transaction or series oftransactions); 2.2.30 "Distribution" means any payment by way of interest,principal, dividend, fee, royalty or other distribution or payment by or onbehalf of the Borrower to or for the account of any Shareholder or any personthat directly or indirectly controls or is controlled by any Shareholder; 2.2.31 "Encumbrance" means any mortgage, pledge, lien,assignment or cession conferring security, hypothecation, security interest,preferential right or trust arrangement or any other agreement or arrangementthe effect of which is the creation of security; 2.2.32 "Event of Default" means any one or more of theevents or circumstances described as an event of default as set out in clause 20(Events of Default); 2.233 "Environmental Claim" means any claim or proceedings by any person pursuant to anEnvironmental Law;2.2.34 "Environmental Law" means any law applicable to the business conducted bythe Group at the relevant time in any jurisdiction in which the Group conductsbusiness which relates to the pollution, degradation or protection of theenvironment or harm to or the protection of human health, animals or plants andincluding, without limitation, the National Environmental Management Act, 1998and the National Water Act, 1998; |

| Page 82.2.35 "Environmental Permits" means any permit, licence, consent, approval andother authorisation and the filing of any notification, report or assessmentrequired under any Environmental Law for the operation of the business of theGroup on or from the properties owned or used by the Group; 2.2.36"Facility" means the term loan facility granted by the Lenders to the Borrower interms of this Agreement;2.2.37 "Facility Agent" means Nedbank;2.2.38 "Facility Outstandings" means, at any time and in respect of any Lender,the aggregate amount at that time of all amounts of principal and accrued andunpaid interest due and payable to that Lender at that time under the FinanceDocuments; 2.2.39 "Fee Letter" means the letter dated on or about theSignature Date between the Borrower and Nedbank, setting out the fees payable toNedbank under clause 30.1 (Arranging and Underwriting Fees); 2.2.40 "Final Repayment Date" means 29 December 2008 and ifthat date is not a Business Day, the next Business Day in that calendar month(if there is one) or the preceding Business Day (if there is not), or the dateupon which the Loan becomes repayable by the Borrower pursuant to the provisionsof this Agreement;2.2.41 "Finance Documents" means:2.2.41.1 this Agreement;2.2.41.2 the Intercreditor Agreement;2.2.41.3 the Security Documents; |
| Page 92.2.41.4 any Accession Undertaking;2.2.41.5 any Cession and Delegation Agreement; 2.2.41.6 and any other agreement or document that may be designated as a "FinanceDocument" by written agreement between the Lender andthe Borrower; and 2.2.41.7 any amendment agreement to any Finance Documents listed in 2.2.41.1 to2.2.41.6;2.2.42 "Finance Parties" means;2.2.42.1 the Lenders; and2.2.42.2 the Facility Agent;and "Finance Party" means, as the context requires, any one of them;2.2.43 "Financial Close" means the earlier of: 2.2.43.1 the date of the notice by Ac Facility Agent referred to m clause 4.1(Conditions to Advance); and2.2.43.2 the date on which the Advance is made;2.2.44 "Financial Covenant" means the financial covenant referred to in clause 19 (FinancialCovenant); 2.2.45 "Financial Year" means, at any time, the annualaccounting period of the Group ending on 30 June in each calendar year; 2.2.46 "Group" means the Borrower and each Group Company from time to time; |

| Page 102.2.47 "Group Company" means:2.2.47.1 any subsidiary of the Borrower; and 2.2.47.2 any partnership, unincorporated joint venture or trust in which the Borrowerhas a, direct or indirect, partnership or beneficial Interestof 50% (fifty percent) or more; and 2.2.47.3 any company, partnership, unincorporated joint venture or trust which isControlled by the Borrower,and Group Companies" means, as the context requires, all of them; 2.2.48 "Guarantee" means the joint and several guaranteeprovided by each of the Guarantors in terms of clause 14 (Guarantee andIndemnity) in favour of the Finance Parties for the obligations of the Borrowerhereunder; 2.2.49 "Guarantors" means the companies listed in Schedule 2(The Guarantors), and "Guarantor" means, as the context requires, any one ofthem;2.2.50 "Hidden Valley Project" means the project which involves the constructionof a gold and silver mine, which project comprises 4 (four) exploration licencesof 966km(2) (nine hundred and sixty-six square kilometres) is the Wau Districtof Morobe Province, Papua New Guinea, and is located 210km (two hundred and tenkilometres) north-northwest of Pott Moresby and 90km (ninety kilometres)south-southwest of Lae;2.2.51 "IFRS" means international accounting standards within the meaning of IASRegulation 1606/2002 to the extent applicable to the relevant financialstatement; |

| Page 112.2.52 "Indebtedness" shall be widely construed so as to include any obligation(whether incurred as principal or surety) for the payment or repayment of money,whether present or future, actual or contingent; 2.2.53 "Intellectual Property Rights" means any patents,trade marks, service marks, designs, trading or business names, copyrights,design rights, moral rights, inventions, confidential information, know-how,domain names, topographical or similar rights, database or other intellectualproperty rights and interests and the benefit of all applications and rights toUSE (including by way of licence) such assets of each Obligor, in each casewhether registered or unregistered; 2.2.54 "Intercreditors Agreement" means the writtenagreement titled "Intercreditor Agreement" to be entered into between theFacility Agent. the Original Lender and a party who becomes a Lender inaccordance with clause 26 (Change of Party) on or before any Cession andDelegation Agreement becomes effective;2.2.55 "Interest Payment Date" means the last day of each Interest Period; 2.2.56 "Interest Period" means each period of 3 (three)months (or part thereof) during the Term commencing on the Advance Date and if: 2.2.56.1 an Interest Period would otherwise end on a day which is not a Business Day,that Interest Period shall instead end on the next Business Day in that calendarmonth (if there is one) or the preceding Business Day (if there is not); or 2.2.56.2 an Interest Period would otherwise overrunthe Final Repayment Date, it shallbe shortened so that it ends on that date; 2.2.57 "Interest Rate" means a fixed interest rate for eachinterest Period equal to the JIBAR plus the Applicable Margin plus BankingCosts; |

| Page 122.2.58 "J1BAR" means the rate per annum determined by the Facility Agent to be equal to either: 2.2.58.1 the quarter-year (91-day) Johannesburg Inter-Bank Agreed Rate as quoted by theSouth African futures Exchange and published on the Quotation Date to fund anamount equal to the Advance for the Interest Period at or about 11h00 and whichappears on the Reuters screen SAFEY page; or 2.2.58.2 if no such rate appears on such display or if no such display is thenavailable for such Interest Period, the arithmetic mean (rounded upwards, if notalready such a multiple, to the nearest whole multiple of 1/16th of 1% (onepercent) of the mid-market deposit rates for South African currency deposits asquoted on the respective money markets Reuters page by the Reference Banks at orabout 11h00 on the Quotation Date for such Interest Period:converted to a naem rate;2.2.59 "Legal Adviser" means Deneys Reitz Inc. of 82 Maude Street, Sandton;2.2.60 "Lenders" means:2.2.60.1 the Original Lender2.2.60.2 any person who has become a Party as a Lender in accordance with theterms of clause 26 (Change of Party); which in each case has not ceased to be aParty in accordance with the terms of this Agreement and "Lender" means, as thecontext requires, any one of them; |

| Page 132.2.61 "Liabilities" means all present and future liabilities and obligations atany time of an Obligor to the Finance Parties under the Finance Documents, bothactual and contingent and whether incurred solely or jointly or in any othercapacity together with any of the following matters relating to or arising inrespect of those liabilities or obligations:2.2.61.1 any refinancing, novation, deferral or extension;2.2.61.2 any claim for damages or restitution; and2.2.61.3 any claim as a result of any recovery by that Obligor of a payment ordischarge on the grounds of preference, and any amounts which would be includedin any of the above but for any discharge, non-provability or unenforceabilityof those amounts in any insolvency or other proceedings; 2.2.62 "Loan" means the aggregate principal amount for thetime being outstanding hereunder; 2.2.63 "Material Adverse Change" means a change in thecircumstances existing as at the Signature Date which in the reasonable opinionof the Facility Agent has or will have a material adverse effect on:2.2.63.1 the business, assets, operations, property or condition (consolidated financial orotherwise) of any of the Obligors or the Group taken as a whole;2.2.63.2 the ability of any Obligor to perform its obligations under any Finance Document towhich it is a party; or2.2.63.3 the validity, legality or enforceability of the material terms of any Finance Documentor the rights or remedies of the Lenders thereunder; |

| Page 142.2.64 "Nedbank" means Nedbank Limited (acting through its Nedbank Capitaldivision) (Registration No 1951/000009/06), a public company and registered bankduly incorporated in accordance with the company and banking laws of SouthAfrica; 2.2.65 "New Lender" has the meaning given thereto in clause 26.2 (Assignment andTransfers by the Lenders);2.2.66 "Obligors" means collectively, the Borrower and the Guarantors and "Obligor" shall be areference to any one of them, as required by the context; 2.2.67 "Original Financial Statements" means the draftconsolidated interim financial statements of the Group for its financial yearended 30 June 2007, as provided by the Borrower to the Facility Agent on orbefore the Signature Date;2.2.68 "Original Lender" means Nedbank; 2.2.69 "Parties" means the Borrower, line Original Lender,the Facility Agent, the Guarantors and any person acceding into this Agreementas a Lender, and "Party" means, as the context requires, any one of them;2.2.70 "Permitted Disposal" means:2.2.70.1 any Disposal made by any Group Company on arm's length terms if that Disposal is nototherwise restricted by a term of any Finance Document;2.2.70.2 any Encumbrance that constitutes a Permitted Encumbrance; 2.2.70.3 any other Disposal approved in advance in writing by the Facility Agent; |

| Page 152.2.71 "Permitted Encumbrances" means:2.2.71.1 Encumbrances created over any asset or property to secure Indebtednessincurred for the purpose of financing the purchase, development, improvement or construction thereof;2.2.71.2 Encumbrances created by operation of law and in the ordinary course oftrading provided that the same are discharged within 90 (ninety) days of theircreation or, in the reasonable opinion of the Facility Agent, are beingcontested in good faith;22.71.3 any Encumbrance which is existing prior to the Signature Date and whichhas been disclosed (i) in Schedule 3 (Disclosed Encumbrances) hereto, or (ii) inthe Original Financial Statements and in all circumstances securing onlyIndebtedness outstanding at the Signature Date if the principal amount ororiginal Facility thereby secured is not increased after the Signature Date; 2.2.71.4 any netting or set-off arrangement entered into by the Borrower in the normalcourse of its banking arrangements for the purpose of netting debit and creditbalances, and only such arrangements that are in existence at the SignatureDate; 2.2.71.5 any landlord hypothecs in respect of property leased by any Obligor which inthe aggregate secure an amount of less than R1 000 000(one million Rand); and 2.2.71.6 any Encumbrance created in respect of Indebtedness incurred to prepay theFacility is full in accordance with the provisions ofclause 10 (Prepayment) below;2.2.71.7 any Encumbrance as contemplated in the Finance Documents; |

| Page 162.2.71.8any other Encumbrance created with the prior written approval of the Facility Agent;2.2.72 "Permitted Indebtedness" means:2.2.72.1 any Indebtedness incurred for the purpose of acquiring new plant, machinery and equipment up to the market value thereof, and which will not once incurred cause the Financial Covenant to be breached; and 2.2.72.2 any Indebtedness incurred by any of the Obligors which does not exceed R50 000000 (fifty million Rand) in aggregate per annum; 2.2.72.3 any Indebtedness which is existing prior to the Signature Date and which hasbeen (i) disclosed in Schedule 4 (Disclosed Indebtedness) hereto, or (it) in the Original Financial Statements; 2.2.72.4 any Indebtedness incurred to prepay the Facility in accordance with theprovisions of clause 10 (Prepayment) below;2.2.72.5 any Indebtedness incurred hereunder; and 2.2.72.6 any other Indebtedness made with the prior written approval of the FacilityAgent;2.2.73 "Permitted Loans" means:2.2.73.1 loans contemplated and permitted by the Finance Documents; 2.2.73.2 trade credit granted in the ordinary course of an Obligor's day-to-daybusiness upon terms usual for such trade;2.2.73.3 loans made by an Obligor to another Obligor (but only if such loans are funded whilstno Default has occurred which is continuing); or |

| Page 172.2.73.4 loans existing prior to the Signature Date and which have been (i) disclosed inSchedule 5 (Disclosed Loans) hereto, or (ii) in the Original FinancialStatements;2.2.73.5 loans granted by the Borrower to any and all of the Group Companies,other than the Obligors or for the purposes of the Hidden Valley Project, whichdo not exceed R5 000 000 (fifty million Rand) in aggregate during the Term;2.2.73.6 any other loans made with the prior written approval of the Facility Agent;2.2.74 "Prime Rate" means the nacm prime overdraft rate of interest from time totime publicly quoted as such by Nedbank, calculated on a 365 (three hundred andsixty-five) day factor, irrespective of whether or not the year is a leap year,as certified by any manager of Nedbank, whose appointment as such it shall notbe necessary to prove, which certificate shall serve as prima facie proof of itscontents;2.2.75 "Quotation Date" means the date upon which the Interest Rate is to be determined for anInterest Period;2.2.76 "Ratio Test Date" means the last day of March. June, September and December;2.2.77 "Ratio Test Period" means each period of 3 (three) months ending on a Ratio Test Date;2.2.78 "Reference Banks" means Absa Bank Limited, FirstRand Bank Limited, theStandard Bank of Southern Africa Limited and the Original Lender or such otherbank or banks as may from time to time be agreed in writing between the Borrowerand the Facility Agent; |

| Page 182.2.79 "Related Party" means any Shareholder and any affiliate of any Shareholder;2.2.80 "Repo Rate" means on any particular day, the repurchase tender rate on that day quoted bythe South African Reserve Bank;2.2.81 "RMB" means FirstRand Bank Limited (acting through Its Rand Merchant Bank division)(Registration No. 1929/001225/06), a public company duly incorporated in accordance with the laws of South Africa;2.2.82 "Security Cession" means; 2.2.82.1 a cession and pledge in security by the Borrower in favour of the FinanceParties on a joint and several basis of tie Subsidiaries, Shares, the Borrower'sright, title and interests in and to the Subsidiaries' Loans and the Borrower'sright, title and interest in and to the Deposit Account and all monies oramounts then or at any time hereafter standing to the credit of the DepositAccount and all rights relating or attaching thereto, including the right tointerest; and 2.2.82.2 a cession and pledge in security by ARMgold in favour of the Finance Partieson a joint and several basis, of ARMgold's Shares in and claims againstARMgold/Harmony Joint Investment Company (Proprietary) Limited andARMgold/Harmony Freegold Joint Venture Company (Proprietary) Limited;and "Security Cessions" means both of them, as required by the context:2.2.83 "Security Documents" means the Guarantee, the Security Cession and anyother agreement or document that may be designated as a "Security Document" bywritten agreement between the Facility Agent and the Borrower; |

| Page 192.2.84 "Share Consideration" shall have the meaning given to it in clause 10.3.2 (Mandatory Prepayment: Disposal of South African Assets);2.2.85 "Shareholder" means any member of the Borrower from time to time;2.2.86 "Short Term Debt" means the facility granted to the Borrower by RMB for amaximum principal amount of R500 000 000 (five hundred million Rand), which isto be repaid on or before 28 September 2007:2.2.87 "Signature Date" means the date of the signature of the Party last signing this Agreement intime;2.2.88 "South Africa" means the Republic of South Africa as constituted from time to time;2.2.89 "Subsidiaries' Loans" means all loans made the Borrower to the Guarantors from time to time;2.2.90 "Subsidiaries' Shares" means all the ordinary shares and preferenceshares in the issued share capital of the Guarantors, which are held by theBorrower from time to time (including, but not limited to, any such shares whichmay be issued or transferred to the Borrower in the future);2.2.91 "Term" means the period from the Advance Date to the earlier of the FinalRepayment Date or any other date on which the Facility Outstandings are repaidin full by the Borrower;2.2.92 "Transaction Security" means the security interest created or expressedto be created in favour of the Finance Parties pursuant to the SecurityDocuments, as stipulated in Schedule 7 (Transaction Security);2.2.93 "Unpaid Sum" means any sum due and payable but unpaid by an Obligor under the FinanceDocuments; |

| Page 202.2.94 "'VAT" means value added tax including any similar tax which maybe imposed in place thereof from time to time, 2.3 Any reference in thisAgreement to:2.3.1 an "affiliate" means In relation to any person, a subsidiary of thatperson or a holding company of that person or any other subsidiary of thatholding company;2.3.2 a "clause" shall, subject to any contrary indication, be construed as a reference to a clausehereof: 2.3.3 "continuing", in the context of an Event of Default, means:2.3.3.1 where the Event of Default or its consequences are incapable of remedythat Event of Default is deemed to be continuing unless it has been expresslywaived in writing by the Lender and any conditions of such waiver have beenfulfilled to the reasonable satisfaction of the Lender;2.3.3.2 in any other case, that Event of Default is deemed to be continuing unless sod untileither;2.3.3.2.1 it has been expressly waived in writing by the Lender and any conditions of suchwaiver have been fulfilled to the reasonable satisfaction of the Lender; or2.3.3.2.2 it has been remedied within the applicable remedy period by any personand the resulting position is that which it would have been if such Event ofDefault had not occurred;2.3.4 a "holding company" shall be construed in accordance with the Companies Act; |

| Page 21 2.3.5"law" shall be construed as any law (including common or customary law) orstatute, constitution, decree Judgment, treaty, regulation, directive, bye-law,order or any other legislative measure of any government, supranational, localgovernment, statutory or regulatory body or court;2.3.6 "month" means unless the context otherwise requires, a period starting onone day in a calendar month and ending on the numerically corresponding day inthe next succeeding calendar month except that, where any such period wouldotherwise end on a day which is not a Business Day it shall end on theimmediately preceding Business Day; provided that if a period starts on the lastBusiness Day of a calendar month or if there is no numerically correspondingdays in the month in which that period ends, that period shall end on the lastBusiness Day in that later month (and references to "months" shall be construedaccordingly):2.3.7 "nacm" means nominal annual compounded monthly in arrears;2.3.8 "nacq" means nominal annual compounded quarterly in arrears;2.3.9 a "person" shall be construed as a reference to any person, firm, company,corporation, government, state or agency of a state or any association orpartnership (whether or not having separate legal personality) of two or more ofthe foregoing;2.3.10 "repay" (or any derivative form thereof) shall, subject to any contraryIndication, be construed to include "prepay" or, as the case may be, thecorresponding derivate form thereof;23.11 a "Schedule" shall, subject to any contrary indication, be construed as a reference to aschedule hereof;2.3.12 a "subsidiary" shall be construed in accordance with the Companies Act; |

| Page 22 2.3.13 "tax" shall be construed so as to include any tax, levy, impost orother charge of a similar nature (including, without limitation, any penalty orinterest payable in connection with any failure to pay or delay in paying any ofthe same).2.4 Unless inconsistent with the contest or save where the contrary is expressly indicated:2.4.1 if any provision in a definition is a substantive provision conferringrights or imposing obligations on any Party, notwithstanding that it appearsonly in this interpretation clause, effect shall be given to it as if it were asubstantive provision of this Agreement;2.4.2 when any number of days is prescribed in this Agreement, same shall bereckoned inclusively of the first and exclusively of the last day unless thelast day falls on a day which is not a Business Day, in which case the last dayshall be the next succeeding Business Day;2.4.3 in the event that the day for payment of any amount due in terms of thisAgreement should fall on a day which is not a Business Day, the relevant day forpayment shall be the previous Business Day;2.4.4 in the event that the day for performance of any obligation to beperformed in terms of this Agreement should fall on a day which is not aBusiness Day, the relevant day for performance shall be the next succeedingBusiness Day;2.4.5 any reference in this Agreement to an enactment is to that enactment as atthe Signature Date and as amended or re-enacted from time to time;2.4.6 any reference in this Agreement to this Agreement or any other agreementor document shall be construed as a reference to this Agreement or, as the |

| Page 23case may be, such other agreement or document as same may have been, or may fromtime to time be, amended, varied, novated or supplemented;2.4.7 no provision of this Agreement constitutes a stipulation for the benefit of any person who isnot a Party to this Agreement;2.4.8 references to day/s, month/s or year/s shall be construed as Gregorian calendar day/s,month/s or year/s;2.4.9 a reference to a Party includes that Party's successors-in-title and permitted assigns;2.4.10 a time of day shall be construed as a reference to Johannesburg time.2.5 Unless inconsistent with the context, an expression which denotes:2.5.1 any one gender includes the other genders;2.5.2 a natural person includes an artificial person and vice versa; and 2.5.3 the singular includes the plural and vice versa.2.6 The schedules or annexures to this Agreement form an integral part hereofand words and expressions defined in this Agreement shall bear, unless thecontext otherwise requires, the same meaning in such schedules or annexures. Tothe extent that there is any conflict between the schedules or annexures to thisAgreement and the provisions of this Agreement, the provisions of this Agreementshall prevail.2.7 Where any term is defined within the context of any particular clause inthis Agreement, the term so defined, unless it is clear from the clause inquestion that the term so defined has limited application to the relevantclause, shall bear the same meaning as ascribed to it for all purposes in termsof this Agreement, notwithstanding that that term has not been defined in thisinterpretation clause. |

| Page 242.8 The rule of construction that, in the event of ambiguity, the contract shallbe interpreted against the Party responsible for the drafting thereof, shall notapply in the interpretation of this Agreement.2.9 The expiration or termination of this Agreement shall not affect such of theprovisions of this Agreement as expressly provide that they will operate afterany such expiration or termination or which of necessity must continue to haveeffect after such expiration or termination, notwithstanding that the clausesthemselves do not expressly provide for this.2.10 This Agreement shall be binding on and enforceable by the administrators,trustees, permitted assigns or liquidators of the Parties as fully andeffectually as if they "had signed this Agreement in the first instance andreference to any Party shall be deemed to include such Party's administrators,trustees, permitted assigns or liquidators, as the case may be.2.11 The use of any expression in this Agreement covering a process availableunder South African law such as winding-up (without limitation eiusdem generis)shall, if any of the Parties to this Agreement is subject to the law of anyother jurisdiction, be construed as including any equivalent or analogousproceedings under the law of such other jurisdiction.2.12 Where figures are referred to in numerals and in words, if there is anyconflict between the two, the words shall prevail.3. INTRODUCTION3.1 The Borrower wishes to raise finance from the Original Lender in an amountequal to the Available Facility to fund the Borrower's capital expenditure inrespect of projects, to repay the Short Term Debt and to pay all fees, costs andexpenses due and payable on Financial Close. |

| Page 25 3.2 The Original Lender is willing to make the facility available to theBorrower for the purposes set out in clause 3.1 upon the terms and conditions ofthis Agreement.4. CONDITIONS TO ADVANCE4.1 Save as provided for in clause 4.2 or as the Facility Agent may otherwiseagree in writing, the Advance shall not be made hereunder unless the FacilityAgent has confirmed to the Borrower in writing that:4.1.1 it has received all of the Advance Condition Documents and that each suchdocument is, in form and substance, satisfactory to the Facility Agent; and4.1.2 all of the Advance Conditions have been fulfilled to the satisfaction of,or waived by, the Facility Agent.4.2 The Facility Agent may:4.2.1 waive any of the conditions referred to in this clause 4 and in such eventthe Facility Agent may attach to such waiver such requirements and further orother conditions as the Facility Agent (in its sole discretion) deems fit;4.2.2 agree to make the Advance on terms (express or otherwise) that anycondition may be converted to a term of this Agreement and that the obligationthereunder be discharged after the date of making of the Advance, and in suchevent the Borrower shall procure that such obligation is discharged within aperiod of 5 (five) Business Days after such Advance (or such other period as theFacility Agent may agree to in writing), and the Facility Agent shall beentitled on written notice to the Borrower to treat any failure by the Borrowerto procure the discharge of such obligation as an Event of Default. |

| Page 26 4.3 TheFinance Documents shall terminate 5 (five) Business Days from the Signature Dateif Financial Close is not achieved by such date or such later date as may beagreed by the Parties in writing. Such termination shall be without prejudice tothe Borrower's obligations under clause 30.3 (Expenses), and the provisions ofclause 2, (Definitions and Interpretation), clause 30.3 (Expenses), clause 30.5(Value Added Tax), clause 31 (Notices and Domicilia), clause 32 (Governing Law),clause 33 (Jurisdiction), clause 34 (Severability), clause 35 (General), clause36 (Counterparts) and this clause 4.3 shall remain in force for such purpose.5. FACILITYSubject to the provisions of clause 4 (Conditions to Advance), the OriginalLender grants to the Borrower, upon the terms and subject to the conditions ofthis Agreement, the Available Facility.6. PURPOSE 6.1 The Facility is intended to fund the Borrower's capital expenditure inrespect of projects, to repay the Short Term Debt, and all fees, costs andexpenses due and payable in the amounts specified in the Fee Letter on FinancialClose, and accordingly, the Borrower shall apply all amounts raised by ithereunder in or towards satisfaction of such purposes. 6.2 Without prejudice to the obligations of the Borrower under clause 6.1, theFinance Parties shall not be obliged to concern themselves with the applicationof amounts raised by the Borrower hereunder.7. UTILISATION7.1 Subject to the terms of this Agreement, the Advance shall be made to theBorrower by the Original Lender on the Advance Date as follows: |

| Page 277.1.1 by payment to RMB in discharge of the Borrower's obligations under theShort Term Debt, in an aggregate amount of R515 695 867,45 (five hundred andfifteen million six hundred and ninety-five thousand eight hundred andsixty-seven Rands and forty-five cents), by way of electronic transfer into thefollowing bank account:Bank: First National Bank;Branch: Corporate Account Services;Branch code: 25 50 05;Account number: 5061 9016 740;Account name: RMB Money Market;7.1.2 by payment to Nedbank of the Fees, costs and expenses stipulated in the Fee Letter; 7.1.3 by way of electronic transfer, transfer R500 000 000 (five hundred million Rand) into the following bank account:Bank: Absa Bank LimitedBranch: VirginiaAccount number: 40-4873-7227Account name: Harmony Treasury Account7.1.4 by way of electronic transfer, transfer the remaining balance of the Advance into thefollowing bank account:Bank: Nedbank LimitedBranch: 1776605Account number: 1766-000-029Account name: Domestic Treasury Suspense Account Re: 7881512 733(the "Deposit Account") |

| Page 28 Provided that on the Advance Date:7.1.4.1 no Default has occurred and is continuing; and7.1.4.2 the representations and warranties set out in clause 15 (Warranties and Representations) are true; orthe Original Lender agrees to make such Advance.7.2 The Borrower agrees that any payment to RMB and Nedbank pursuant to clauses7.1.1 and 7.1.2 shall form part of the Advance and the Borrower renounces allbenefits of the exception of "no value received", "non numeratae pecuniae", "noncausa debiti" and "errore calculi, the meaning and effect of which it declaresit understands.7.3 The Borrower acknowledges and agrees that:7.3.1 the Original Lender shall not be obliged to make the Advance unless theAdvance Conditions have been fulfilled or waived and the conditions set out inclause 7.1.4.1 and 7.1.4.2 are met;7.3.2 no Advance or portion thereof repaid by the Borrower in accordance withthe provisions of this Agreement or otherwise shall be available to be re-advanced to the Borrower by the Lenders;7.3.3 the Finance Parties shall not incur any liability to the Borrower in theevent of the Advance under the Facility earmarked for the purposes of clause 6(Purpose) not being utilised for such purpose and in such an event, the portionof those payments made from the Facility will nevertheless be regarded asconstituting valid advances and form part of the Loan; |

| Page 29 7.3.4 if any monies are advanced in the mistaken belief that the AdvanceConditions have been fulfilled or waived in accordance with this Agreement, andit is subsequently determined that not all the Advance Conditions have beenfulfilled or waived, this Agreement shall be valid and enforceable in respect ofthe monies advanced and the Facility, and the Facility Agent shall be entitledon written notice to the Borrower, to demand immediate payment of the FacilityOutstandings, without prejudice to any other rights or remedies that the Leadersmay have in law.8. INTEREST8.1 The Loan shall bear interest at the Interest Rate which shall:8.1.1 accrue on a day to day basis over the Term; and8.1.2 be calculated on the actual number of days elapsed and, for the purposesof calculation, based on a year of 365 (three hundred and sixty-five) days,irrespective of whether the year in question is a leap year.8.2 All interest accrued on the Loan during the Term (including capitalisedinterest) shall be paid by the Borrower on each Interest Payment Date to theLenders, in accordance with clause 11 (Payments).8.3 The Facility Agent shall promptly notify the Borrower of the applicableInterest Rate determined pursuant to the provisions of this Agreement promptlyafter ascertaining the same.9. REPAYMENT9.1 The Borrower shall, subject to the provisions of clauses 10 (Prepayment) and20 (Events of Default), repay the Advance together with all accrued but unpaidinterest on the Final Repayment Date, in accordance with clause 11 (Payments). |

| Page 30 9.2 The Borrower shall not repay all or any part of the Loan except at thetimes and in the manner expressly provided for in this Agreement and shall notbe entitled to reborrow any amount repaid.10. PREPAYMENT10.1 At any time during the Term, and provided that no Default has occurred thatis continuing, the Borrower may, subject to the provisions of clause 30.2 (ExitFees), by giving to the Facility Agent not less than 5 (five) Business Daysprior written notice to that effect, prepay the whole or part of the FacilityOutstandings on an Interest Payment Date; provided that:10.1.1 no such prepayment shall be in an amount of less than R50 000 000 (fiftymillion Rand) (or a greater amount thereof in increments of R10 000 000 (tenmillion Rand)) or the Facility Outstandings, whichever is the lesser; and10.1.2 where such prepayment is as a result of a refinancing (as contemplated in clause 30.2.1 (ExitFees)): 10.1.2.1 the Borrower must give the Facility Agent not less than 15 (fifteen) BusinessDays prior written notice to that effect; and 10.1.2.2 such prepayment must be of the Facility Outstandings and not a portion thereof.10.2 Any notice of prepayment pursuant to clause 10.1 shall: 10.2.1 be irrevocable;10.2.2 specify a date upon which such prepayment is to be made, which date is an Interest PaymentDate;10.2.3 specify the amount of the prepayment; and |

| Page 3110.2.4 oblige the Borrower to make such prepayment on such date.10.3 Mandatory Prepayment: Disposal of South African Assets10.3.1 The Borrower shall given the Facility Agent at least 10 (ten) BusinessDays written notice, prior to the occurrence of a Permitted Disposal of an assetlocated within South Africa of the Borrower or any Group Company should theamount anticipated to be realised exceed R50 000 000 (fifty million Rand).10.3.2 The Borrower shall forthwith notify the Lenders in writing of the amountrealised (net of all realisation costs, expenses and taxes) in the form of cash("Cash Consideration") and/or shares ("Share Consideration") (collectively the"Disposal Amount") upon the occurrence of the Permitted Disposal.10.3.3 Should the Cash Consideration portion of the Disposal Amount exceed R50000 000 (fifty million Rand), not later than 20 (twenty) Business Days after thePermitted Disposal the Borrower shall, by delivering a written notice (the"Offer Notice") to the Lenders to that effect, offer to prepay the FacilityOutstandings in an amount equal to the Cash Consideration portion of theDisposal Amount.10.3.4 The Facility Agent shall, within 5 (five) Business Days of receipt of theOffer Notice, advise the Borrower in writing whether it wishes to accept theoffer pursuant to clause 10.3.3 and if so the amount (the "Accepted PrepaymentAmount") to be applied in prepayment of the Facility Outstanding.10.3.5 The Borrower shall pay to the Facility Agent the Accepted PrepaymentAmount within 2 (two) Business Days of receipt of the Facility Agent'sacceptance thereof. The payment to the Facility |

| Page 32Agent of the Prepayment Amount shall be applied to reduce the FacilityOutstandings by the same amount.10.3.6 Not later than 20 (twenty) Business Days after each Permitted Disposal,the Borrower shall grant the Finance Parties (on a joint and several basis) acession and pledge in security of the Share Consideration portion of theDisposal Amount, on terms and conditions substantially similar to the SecurityCession granted by ARMgold in respect of its shares in ARMgold Harmony JointInvestment Company (Proprietary) Limited and ARMgoId/Harmony Freegold JointVenture Company (Proprietary) Limited, subject to any restrictions imposed onthe Borrower pursuant to the Disposal in respect of encumbrances and/ordisposals of the Share Consideration.10.3.7 The provisions of this clause 10.3 shall not apply in relation to:10.3.7.1 any Cash Consideration received in respect of the Disposal by ARMgoldof that portion of its operations known as Orkney 1 - 7 Shafts located inOrkney, North West Province of the Republic of South Africa, to Clidet No 759(Proprietary) Limited (an entity that will be a wholly owned subsidiary ofARMgold), and the subsequent unbundling of the shares is Clidet 759(Proprietary) Limited to Harmony and subsequent sale to Pamodzi Gold Limited;and10.3.7.2 25% (twenty-five percent) of the proceeds of the intended Disposal byRandfontein Estates Limited of the Cooke Bump Tailings Dam located inRandfontein, Gauteng Province of the Republic of South Africa.11. PAYMENTS11.1 All payments to be made by the Obligors under any Finance Documents shall begoverned by the following provisions: |

| Page 3311.1.1 all such payments shall be made to the Facility Agent, on the due datefor such payment, to such account as the Facility Agent specifies, and any suchpayment shall discharge, pro tanto, the corresponding liability to the FinanceParties;11.1.2 all such payments shall be made for value by no later than 12h00 on thedue date for such payment;11.1.3 the relevant Obligor shall advise the Facility Agent in writing once suchrepayment has been made; and11.1.4 all such payments shall be made in immediately available, freelytransferable, cleared funds free and clear of set-off, deduction orcounterclaim.11.2 In the event of any payment of being made in full on its due date,appropriated in the first instance to the payment of any costs, charges orexpenses, thereafter to interest then due and payable, and thereafter inredaction of the principal amount of the Loan.11.3 The Borrower shall not have the right to defer, adjust or withhold anypayment due to any Finance Party in terms of or arising out of this Agreement orto obtain deferment of judgment for such amount or any execution of suchjudgment by reason of any set-off or counterclaim due to any other contractualor delictual claims or causes of whatsoever nature or howsoever arising,11.4 If, at any time, it shall become impracticable (by reason of any action ofany governmental authority or any change in law, exchange control regulations orany similar event) for the Borrower to make any payments hereunder in the mannerspecified in this clause 11 (Payments), then the Borrower may agree with theFacility Agent alternative arrangements for such payment to be made; providedthat, in the absence of any such agreement, the Borrower shall be |

Page 34 obliged to make all payments due to the Finance Parties in the manner specified herein. 12.BREAKAGE COSTS AND BREAKAGE GAINS 12.1 If a Lender (or any person on its behalf) receives orrecovers all or any part of the Facility Outstanding otherwise than on the Interest Payment Date ofthe Interest Period relating to the Advance: 12.1.1 the Borrower indemnifies and holds that Lenderharmless and shall pay to that Lender on demand an amount equal to all Breakage Costs which thatLender sustains as a consequence of such receipt or recovery on day other than an Interest PaymentDate; or 12.1.2 that Lender shall pay to the Borrower on demand an amount equal to all BreakageGains which that Lender has actually realised as a consequence of such receipt or recovery on a dayother than on an Interest Payment Date. 1 2.2 A certificate signed by any director or manager ofthe Facility Agent (whose appointment need not be proved) as to the amount of any Breakage Costs orBreakage Gains, as the case may be, shall be prima facie proof of the amount thereof. 13.ILLEGALITY If, at any time, it is unlawful for any of the Lenders to make, fund or allow to remainoutstanding all or any part of the Advance, then the Facility Agent shall, promptly after becomingaware of the same, deliver to the Borrower a certificate to that effect and; 13.1 the relevantLender shall not thereafter be obliged to make the Advance: and

Page 35 13.2 if the relevant Lender so requires, the Borrower shall an such date as the FacilityAgent shall have specified, having given at least 10 (ten) Business Days written notice to thateffect, repay that Lenders portion of the Facility Outstandings and any repayment so made shallreduce rateably the remaining obligations of the Borrower under clause 9 (Repayment). 14. GUARANTEEAND INDEMNITY 14. 1 Guarantee and Indemnity Each Guarantor irrevocably and unconditionally jointlyand severally: 14.1.1 guarantees to each Finance Party the punctual performance by the Borrower ofall the Borrowers obligations under the Finance Documents; 14.1.2 undertakes to each Finance Partythat whenever the Borrower does not pay any amount when due under or in connection with any FinanceDocument, that Guarantor shall directly on demand pay that amount as if it was the principalobligor; and 14.13 indemnifies each Finance Party directly on demand against any cost loss orliability suffered by that Finance Party if any obligation guaranteed by it is or becomesunenforceable, invalid or illegal. The amount of the cost, loss or liability shall be equal to theamount which that Finance Party would otherwise have been entitled to recover. 14.2 ContinuingGuarantee This guarantee is a continuing guarantee and will extend to the ultimate balance of sumspayable by the Borrower under the Finance Documents, regardless of any intermediate payment ordischarge in whole or in part. 14.3 Reinstatement

Page 36 If any payment by the Borrower or any discharge given by a Finance Party (whether inrespect of the obligations of the Borrower or any security for those obligations or otherwise) isavoided or reduced as a result of insolvency or any similar event: 14.3.1 the liability of theBorrower shall continue as if the payment, discharge, avoidance or reduction had not occurred; and14.3.2 the relevant Finance Party shall be entitled to recover the value or amount of that securityor payment from the Borrower, as if the payment, discharge, avoidance or reduction had notoccurred. 14.4 Waiver of Defences The obligations of each Guarantor under this clause 14 will,subject to applicable law, not be affected by an act, omission, matter or thing which, but for thisclause, would reduce, release or prejudice any of its obligations under this clause 14 (withoutlimitation and whether or not known to it or any Finance Party) including: 14.4.1 any time, waiveror consent granted to, or composition with, the Borrower or other person; 1 4.4.2 the release ofthe Borrower or any other person under the terms of any composition or arrangement with anycreditor of any member of the Group: 14.4.3 the taking, variation, compromise, exchange, renewal orrelease of, or refusal or neglect to perfect, take up or enforce, any rights against, or securityover assets of, the Borrower or other person or any non-presentation or non-observance of anyformality or other requirement in respect of any instrument or any failure to realise the fullvalue of any security;

Page 37 14.4.4 any incapacity or lack of power, authority or legal personality of or dissolution orchange in the members or status of the Borrower or any other person; 14.4.5 any amendment (howeverfundamental) or replacement of a Finance Document or any other document or security; 14.4.6 anunenforceability, illegality or invalidity of any obligation of any person under any FinanceDocument or any other document or security; or 14.4.7 any insolvency or similar proceedings. 14.5Direct Recourse Each Guarantor waives any right it may have of first requiring any Finance Party toproceed against or enforce any other rights or security or claim payment from any person beforeclaiming from that Guarantor under this clause 14; provided that prior to making any demand on anyGuarantor under this clause 14 demand shall first have been made on the Borrower and the Borrowershall have failed to pay the sum or perform the obligation demanded within the requisite periodspecified in such demand. This waiver applies irrespective of any law or any provision of a FinanceDocument to the contrary. 14.6 Appropriations Until all amounts which may be or become payable bythe Borrower under or in connection with the Finance Documents have been irrevocably paid in full,each Finance Party (or any agent on its behalf) may apply all monies, security or rights receivedby it on account thereof in such manner and order as it sees fit.

Page 38 14.7 Deferral of Guarantors Rights Until all amounts which may be or become payable bythe Borrower under or in connection with the Finance Documents have been irrevocably paid infull and unless the Facility Agent (acting reasonably) otherwise directs, no Guarantor willexercise any rights which it may have by reason of performance by it of its obligations underthe Finance Documents: 14.7.1 to be indemnified by the Borrower; 14.7.2 to claim anycontribution from any Guarantor; and/or 14.7.3 to take the benefit (in whole or in part andwhether by way of subrogation or otherwise) of the rights of the Finance Parties under theFinance Documents, or of any other guarantee or security taken pursuant to, or in connectionwith, the Finance Documents by any Finance Party. 14.8 Additional Security This guarantee isin addition to and is not in any way prejudiced by any other guarantee or security now orsubsequently held by any Finance Party. 15. WARRANTIES AND REPRESENTATIONS 15.1 From theSignature Date, each Obligor hereby represents and warrants to the Lender on a continuingbasis that: 15.1.1 Status 15.1.1.1 It is a limited liability company, duly incorporated and ingood standing and validly existing under the laws of the Republic of South Africa.

Page 39 15.1.1.2 It has the power to own its assets and carry on its business as it is beingconducted or is contemplated to be conducted. 15.1.2 Power and Authority 15.1.2.1 It has the powerto enter into and perform, and has taken all necessary action to authorise its entry into, andperformance of, the Finance Documents to which it is party and the transactions contemplated bythose Finance Documents. 15.1.2.2 No limit on its powers will be exceeded as a result of theborrowings, grant of security or giving of guarantees or indemnities contemplated by the FinanceDocuments to which it is a party. 1 5.1.3 Authorisations 15.1.3.1 All Authorisations required toenable it lawfully to enter into, exercise its rights and comply with its obligations under theFinance Documents to which it is a party and to ensure that the obligations expressed to be assumedby it thereunder are legal, valid, binding and enforceable have been obtained or effected and arein full force and effect. 15.1.3.2 It Is not necessary that any Finance Document be filed, recordedor enrolled with any court or other authority in South Africa or that any registration or similartax be paid on or in relation to any Finance Document: 15.1.3.3 All Authorisations necessary forthe conduct of its business, trade and ordinary activities have been obtained or effected and arein full force and effect.

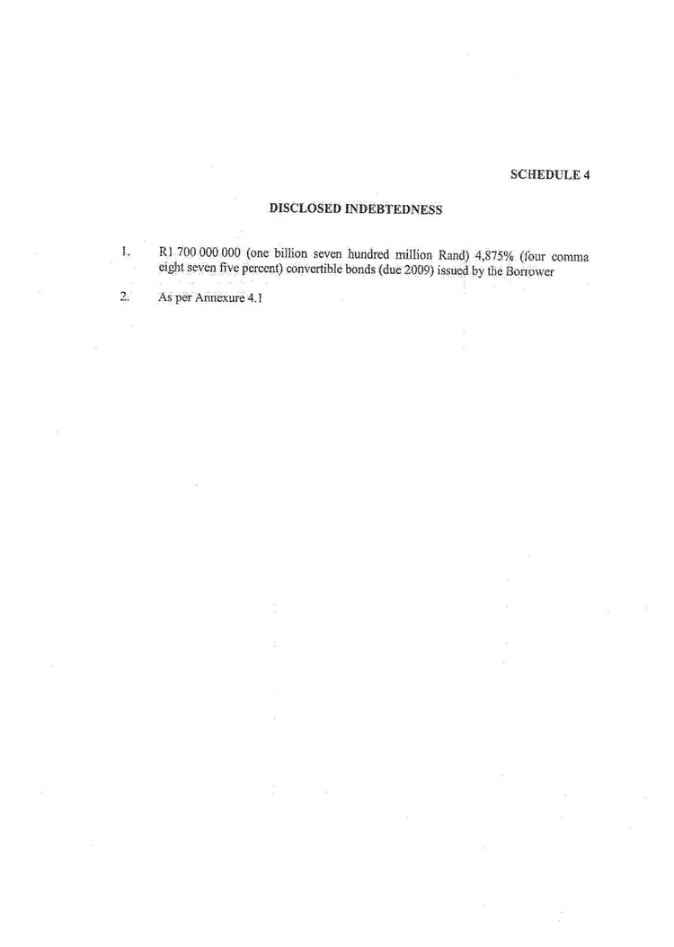
Page 40 15.1.4 Constitutional Documents 15.1.5 The execution of the Finance Documents to which itis a party and its exercise of its rights and performance of its obligations thereunder do not andwill not conflict with its Constitutional Documents. 15.1.6 Binding Obligations The obligationsexpressed to be assumed by it in each Finance Document to which it is a party are legal, valid,binding and enforceable obligations. 15.1.7 Non-conflict with Other Obligations The entry into andperformance by it of, and the transactions contemplated by, the Finance Documents to which it is aparty and the granting of the Transaction Security pursuant to the Security Documents to which itis a party do not and will not conflict with any agreement or instrument binding upon it or any ofits assets, including in particular the R1 700 000 000 (one billion seven hundred million Rand)4,875% (four comma eight seven five percent) convertible bonds (due 2009) issued by the Borrower.15.1.8 No Default 15.1.8.1 No Default is continuing or might reasonably be expected to result fromthe making of the Loan or the entry into, the performance of, or any transaction contemplated by,any Finance Document. 15.1.8.2 No event or circumstance is continuing which constitutes a breach ordefault under, or entities another party to call for termination of, any material agreement ormaterial instrument which is binding on it.

Page 41 15.1.9 No Encumbrances 15.1.9.1 No Encumbrance exists over any of its assets except forPermitted Encumbrances. 15.1.9.2 Other than the Encumbrances created or to be created under thesecurity Documents, no Encumbrance will arise solely as a result of the execution of andperformance of its rights and obligations under the Finance Documents. 15.1.10 Indebtedness It hasnot incurred any Financial Indebtedness except for Permitted Indebtedness. 15.1.11 No ProceedingsPending Threatened No investigation, litigation, arbitration or administrative proceedings of orbefore any court, arbitral body or government agency which, if adversely determine, is reasonablylikely to result in a Material Adverse Change have been started against it. 15.1.12 No Winding-UpIt has not taken any corporate action, nor have any other steps been taken or legal proceedingsstarted against it, for its winding-up, dissolution, or administration or for the enforcement ofany security interest over all or any of its revenues or assets or for the appointment of areceiver, administrator, administrative receiver, conservator, custodian, trustee or similarofficer of it or of all or any of its assets.

Page 42 15.1.13 Solvency 15.1.13.1 No Obligor is unable or has admitted its inability to pay itsdebts as they fall due or has suspended making payments on any of its debts or, by reason or actualor anticipated financial difficulties, commenced negotiations with its creditors generally with aview to rescheduling its indebtedness. 15.1.13.1 A moratorium has not been declared in respect ofany of the indebtedness of any Obligor. 15.1.14 Compliance with Laws Without detracting from anyother provision of this clause 15, each Obligor is in compliance with in all material respects thelaws of the Republic of South Africa. 15.1.15 Environmental Compliance Each Obligor, to the extentapplicable to it, has: 15.1.15.1 performed and observed in all material respects all EnvironmentalLaw, Environmental Permits and all other material covenants, conditions, restrictions or agreementsdirectly or indirectly concerned with any contamination, pollution, degradation or waste or therelease or discharge of any toxic or hazardous substance in connection with any real property whichis or was at any time owned, leased, occupied or controlled by it or on which it has conducted anyactivity where failure to do so is likely to result in a Material Adverse Change; and 15.1.15.2obtained all Environmental Permits required by it which are material to properly conduct itsbusiness.

Page 43 15.1.16 Environmental Claims Save to the extent disclosed in Schedule 6 (DisclosedPotential Environmental Claim) no Environmental Claim has been commenced against any Obligor wherethat claim would be reasonably likely to be adversely determined and which, if so adverselydetermined against that Obligor is likely to result in a Material Adverse Change. 15.1.17Deduction of Tax It is not required to make any deduction for or on account of tax from any paymentit may make under any Finance Documents to the Finance Parties. 15.1.18 Taxation 15.1.18.1 EachObligor has duly and punctually paid and discharged all taxes imposed upon it or its assets withina time period allowed without incurring penalties except to the extent that: 15.1.18.1.1 payment isbeing contested in good faith; 15.1.18.1.2 it has maintained adequate provisions for those taxes inaccordance with IFRS; and 15.1.18.1.3 payment can be lawfully withheld. 15.1.18.2 Each Obligor ismaterially overdue in the filing of its tax returns since the years specified in Schedule 13 (LastTax Return Year) for each Obligor. Such late filing is due to bona fide queries having been raisedby each of the Obligors with the South African Revenue Service and/or by the South African RevenueService with all or any

Page 44 of the Obligors, and for which proper and adequate provision has been made in the OriginalFinancial Statements. 15.1.19 No Misleading Information 15.1.19.1 To the best of its knowledge andbelief (having made due enquiry), all written Information provided by it and supplied to theFacility Agent pursuant to the terms of the Finance Documents and the transactions contemplatedthereby is true and accurate in all material respects as at the date it was given and is notmisleading in any material respects (whether because of information actually provided or whichshould have been provided). 15.1.19.2 All written information referred to in this clause 15.1.19has been disclosed to the Facility Agent without breaching any confidentiality obligation bindingupon it or its assets. 15.1.19.3 It has not knowingly withheld any information which, if disclosed,would reasonably be expected materially and adversely to affect the decision of the Lenders toprovide finance to the Borrower. 15.1.20 No Breach of Finance Documents 15.1.21 It is not in breachof or in Default under any Finance Document. 15.1.22 No Material Adverse Change Since the SignatureDate, no event or series of events has occurred, commenced or is threatened which is (or thecontinuation of which is) likely to result in a Material Adverse Change.

Page 45 15.1.23 Original Financial Statements 15.1.23.1 The Original Financial Statements wereprepared is accordance with IFRS consistently applied, except to the extent expressly disclosed tothe contrary therein. 15.1.23.2 The Original Financial Statements fairly represent the Obligorsfinancial condition and operations (consolidated in the case of the Group) during the relevantfinancial period, unless expressly disclosed to the contrary therin. 15.1.23.3 There has been nomaterial adverse change in the business, operations, prospects or financial condition of any of theObligors (or the business or consolidated financial condition of the Group) since the SignatureDate. 15.1.23.4 Upon the Original Financial Statements being audited by the Auditors, there shallbe no material changes thereto, and same shall not be qualified adversely by the Auditors or in anymaterial respect more severely than to the extent disclosed in the Original Financial Statements asat the Signature Date. 15.1.24 Financial Statements and Budgets 15.1.24.1 The most recent financialstatements delivered pursuant to clause 16.1 (Financial Statements) have been prepared inaccordance with IFRS as applied to the Original Financial Statements and give a true and fair viewof (if audited) or fairly present (if unaudited) the Groups consolidated financial condition andeach Obligors financial condition as at the end of, and consolidated results of operations for,the period to which they relate.

Page 46 15.1.24.2 The most recent management accounts delivered pursuant to clause 16.2 (ManagementAccounts) fairly present the Groups consolidated financial position and consolidated results ofoperations, for the period to which they relate. 15.1.24.3 The budgets and forecasts supplied underthis Agreement were arrived at after careful consideration and have been prepared in good faith onthe basis of recent historical information and on the basis of assumptions which were reasonable asat the date they were prepared and supplied. 15.1.24.4 Since the date of the most recent financialstatements delivered pursuant to clause 16.1 (Financial Statements) and the most recent managementaccounts delivered pursuant to clause 16.2 (Management Accounts) there has been no Material AdverseChange in the business, assets or financial condition of the Group. 15.1.25 Insurance It maintainsinsurances or and in relation to its business and assets against those risks and to the extent asis usual for companies in South Africa carrying on substantially similar business in South Africa.15.1.26 Assets and Intellectual Properly Rights 15.1.26.1 If has good title to or valid leases orlicenses over all of the assets necessary and material to carry on its business. 15.1.26.2 It ownsor has the legal right to use all the Intellectual Property Rights which are material to theconduct of the business of the Group takes as a whole, or are required by it in order for it tocarry on its business and, as far as it is aware, it will not nor will any of its subsidiaries, incarrying on its business, infringe any Intellectual

Page 47 Property Rights of any third party in any way which is likely to result in a MaterialAdverse Change. 15.1.26.3 None of the Intellectual Property Rights which are material in thecontext of its business are, to its knowledge, being infringed nor, to its knowledge, is there anythreatened infringement of those Intellectual Property Rights, by any third party which in any suchcase is likely to result in a Material Adverse Change. 15.1.26.4 All registered IntellectualProperty Rights owned by it (or any subsidiary of it) and which are material to the conduct of itsbusiness are subsisting, and all actions (including payment of all fees) required to maintain thesame in full force and effect have been taken. 15.1.27 Pari Passu Ranking Its payment obligationsunder the Finance Documents to which it is a party rank at least pari passu with the claims of allits other unsecured and unsubordinated creditors, except for obligations mandatorily preferred bylaw applying to companies generally. 15.1.28 Security Interest 15.1.28.1 Subject in each case toany registration specifically required by law: 15.1.28.1.1 each Security Document validly createsthe security interest which is expressed to be created by that Security Document; and 15.1.28.1.2the Transaction Security created by each Security Document:

Page 48 15.1.28.1.2.1 ranks and will rank, in respect of all other security interests granted or tobe granted by any Obligor in favour of any person other than the Finance Parties, in the order ofpriority it is expressed to rank in the relevant Security Document; and 15.1.28.1.2.2 is notsubject to avoidance in the event of any winding-up, dissolution or administration involving anyObligor. 15.1.28.2 Other than any assets which are either the subject of a Permitted Encumbrance orwhich are teased by the relevant Obligor, it is the sole, absolute, legal and, where applicable,beneficial owner of all assets made subject to the Transaction Security created by each SecurityDocument. 15.1 .29 No Material Industrial Action No industrial or similar action has been startedor threatened against It which Is likely to result in a Material Adverse Change on its ability orthe ability of it to perform its obligations under the Finance Documents to which it is a Party.15.1.30 Immunity from Suit 15.1.30.1 In an proceedings taken against it in South Africa b relationto the Finance Documents to which it is a party, it will not b s entitled to claim for itself orany of its assets immunity from suit, execution, attachment or other legal process. 15.1.30.2 Theexecution of the Finance Documents to which it is a party constitutes, and Its exercise of itsrights and performance of its obligations thereunder will constitute, private and commercial actsdone and performed for private and commercial purpose;

Page 49 15.2 Each of the warranties given by each of the Obligors in terms of clause 15.1 shall:15.2.1 prima facie be deemed to be a representation or fact inducing the Finance Parties to enterinto the Finance Documents; 15.2.2 be presumed to be material unless the contrary is proved; 15.2.3insofar as any of the warranties is promissory or relates to a future event, be deemed to have beengiven as at the due date for fulfilment of the promise or for the happening of the event, as thecase may be; and 15.2.4 be a separate warranty and in no way be limited or restricted by referenceto or inference from the terms of any other warranty. 15.3 The Finance Parties are entering intothis Agreement relying upon the warranties given by the Borrower in clause 15.1. 16. FINANCIALINFORMATION 16.1 Financial Statements 16.1.1 The Borrower shall: 16.1.1.1 as soon as the samebecome available, but in any event within 120 (one hundred and twenty) days after the end of eachFinancial Year during the Term deliver to the Facility Agent the consolidated audited annualfinancial statements of the Group for such Financial Year; 16.1.1.2 as soon as the same becomeavailable, but in any event within 150 (one hundred and fifty) days after the end of each FinancialYear during the Term, deliver to the Facility Agent the audited annual financial statements of eachGuarantor for such Financial Year;

Page 50 16.1.1.3 as soon as the same become available, but in any event within 60 (sixty) daysafter the end of each quarter of each Financial Year during the Term, deliver to the Facility Agentthe consolidated interim quarterly financial statements of the Group (in the form as provided tothe Borrowers shareholders) for such period. 16.1.1.4 from time to time on the written request ofthe Facility Agent, furnish the Facility Agent with such information about the business andfinancial condition of the Group and/or of each Obligor as the Facility Agent may reasonablyrequire. 16.1.2 The Borrower shall ensure that: 16.1.2.1 each set of financial statements deliveredby it pursuant to clause 16.1 is prepared on the same basis as was used in the preparation of theOriginal Financial Statements and in accordance with IFRS; 16.1.2.2 each set of financialstatements delivered by it pursuant to this clause 16 is certified by a duly authorised officer ofthe Borrower as giving a true and fair view of the financial condition of the Group (and eachObligor) as at the end of the period to which those financial statements relate and of the resultof its operations during such period; and 16.1.2.3 each set of financial statements delivered by itpursuant to clause 16.1 .1.1has been audited by the Auditors. 16.2 Management Accounts The Borrowershall deliver to the Facility Agent as soon as the same become available, but in any event within30 (thirty) days after the end of each calendar month of each Financial Year the consolidatedunaudited monthly management accounts of the Group for that period.

Page 51 16.3 Compliance Certificate 16.3.1 The Borrower shall deliver to the Facility Agent witheach set of financial statements delivered pursuant to clause 16.1 (Financial Statement), aCompliance Certificate setting out (in reasonable detail) computations as to compliance with clause19 (Financial Covenant) as at the Ratio Test Date; and 16.3.2 Each Compliance Certificate shall besigned by the chief financial officer or the financial director of the Borrower. 16.4 Board PacksThe Borrower shall deliver to the Facility Agent (in sufficient copies for all Lenders if theFacility Agent so requests under clause 16.10 (Delivery of Information) copies of the packsprepared for the meetings of the board of directors of the Group for each quarter together with thedraft minutes of the previous meeting of the board of directors, within 3 (three) Business Days ofpublication of the quarterly financial statements of the Group for such quarter. 1 6.5 Requirementsas to Financial Statements 16.5.1 Each set of financial statements delivered pursuant to clause16.1 (Financial Statements) shall be certified by the Group Managing Director or the GroupFinancial Director of the Borrower as fairly representing its financial condition as at the date asat which those financial statements were drawn up. 16.5.2 The Borrower shall procure that each setof financial statements delivered pursuant to clause 16.1 (Financial Statements) is prepared inaccordance with the IFRS, the requirements of the Companies Act and accounting practises andfinancial reference periods as promulgated by the

Page 52 Accounting Practices Board consistent with those applied in the preparation of theOriginal Financial Statements. 16.5.3 Clause 16.5.2 shall not apply to the extend that, in relationto any sets of financial statements the Borrower notifies the Facility Agent that there has been achange in IFRS or the accounting practices or reference periods and the Auditors (in the case ofits annual audited financial statements) or the Borrower (in the case of any of its other financialstatements) delivers to the Facility Agent: 16.5.3.1 a description of any change necessary forthose financial statements to reflect IFRS, accounting practices and reference periods upon whichthe Original Financial Statements were prepared; and 16.5.3.2 sufficient Information, in form andsubstance as may be reasonably required by the Facility Agent to enable the Facility Agent todetermine whether clause 19 (Financial Covenant) has been complied with and make an accuratecomparison between the financial position indicated in those financial statements and the OriginalFinancial Statements. 16.5.4 If the Borrower notifies the Facility Agent of a change in accordancewith clause 16.5.3, then the Borrower and Facility Agent shall enter into negotiations in goodfaith with a view to agreeing: 16.5.4.1 whether or no! the change might result in materialalteration in the commercial effect of any of the terms of this Agreement any other FinanceDocument; and 16.5.4.2 if so, any amendments to this Agreement or any other Finance Document whichmay be necessary to ensure that the change does not result in any material alteration in thecommercial effect of those terms,

Page 53 and if any amendments are agreed they shall take effect and be. binding on each of theParties in accordance with their terms. 16.5.5 Any reference in this Agreement to financialstatement shall be construed as a reference to those financial statements as the same may beadjusted under this clause 16.5 to reflect the basis upon which the Original Financial Statementswere prepared. 16.6 Requirements as to Management Accounts The monthly management accounts to bedelivered pursuant to clause 16.2 (Management Accounts) shall be in the form of and contain theinformation contemplated in Schedule 12 (Pro Forma Management Account). 16.7 Access to Records If aDefault is continuing or the Facility Agent reasonably suspects that a Default is continuing or mayoccur, each Obligor shall, and the Borrower shall ensure that each Obligor will, permit theFacility Agent or any of its representatives and professional advisors free access at allreasonable times and on reasonable notice (at the Borrowers cost and expense) to that Obligorspremises, records, accounts (including its general ledger), books and assets as that person mayrequire at reasonable times and upon reasonable notice. 16 .8 information: Miscellaneous TheBorrower shall supply to the Facility Agent (In sufficient copies for all Lenders if the FacilityAgent so requests under clause 16.10 (Delivery of Information) 16..8.1 at the same time as they aredespatched, copies of all documents despatched by any Obligor to its shareholders generally (or anyclass of

Pags 54 them) or despatched by any Obligor to its creditors generally or any class of them); 16.8.2promptly upon becoming aware of them, the details of any/ litigation, alteration or administrativeproceedings which are current, threatened or pending against any Obligor which, if adverselydetermined against it, would be reasonably likely to have a Material Adverse Change; 16.8.3promptly, such further information (including an extract of its general ledger) regarding thefinancial condition, business and operations of any Group Company as the Facility Agent mayreasonably request; and 16.8.4 promptly upon it becoming aware of any transfer of shares It anyGroup Company (not being a publicly listed entity) and of any change in the beneficial ownership ofany Group Company (not being a publicily listed entity) affecting the Control of that GroupCompany, provide details thereof and an updated list of all the shareholders of any Group Company(not bring a publicly listed entity). 16.9 Notification of Default 16.9.1 The Borrower shall notifythe Facility Agent of any Default (and the steps, if any, being taken to remedy it) promptly uponbecoming aware of its occurrence. 16.9.2 Promptly upon a request by the Facility Agent, theBorrower shall supply to the Facility Agent a certificate signed by the chief financial officer orthe financial director of the Borrower certifying that no Default is continuing (or if a Default iscontinuing specifying the Default and the steps, if any, being taken to remedy it). 16.10 Deliveryof Information

Page 55 16.10.1 Without prejudice to clause 31 (Notices and Domicilia), any documents to bedelivered under this clause 16 may be delivered by the Borrower to the Facility Agent (and by theFacility Agent to the Lenders) by e-mail where the Facility Agent has expressly agreed, by writtennotice to the Borrower, to receive such documents by e-mail and has informed the Borrower of ane-mail address pursuant to clause 31 (Notices and Domicilia), provided that, for this purpose, anysuch notification shall also be followed-up by telefax; or 16.10.2 If a Finance Party requestsdelivery to it of a paper copy of any document to be delivered by the Borrower under this clause 16in place of an electronic copy of such document, it shall notify the Borrower accordingly. TheFacility Agent shall request the Borrower n writing to provide such paper copies promptly uponreceipt of any such notice and the Borrower shall be obliged promptly to do so. 17. POSITIVEUNDERTAKINGS Each Obligor hereby each agrees and undertakes, until the Facility Outstanding hasbeen repaid in full, that it shall: 17.1 Authorisations Obtain, comply with the terms of and do allthat is necessary to Maintain in full force aid effect all authorisations,, approvals, licences andconsents required in or by the laws and regulations of South Africa to enable It lawfully toundertake its business and to enter into and perform its obligations under the Finance Documents towhich it is a party or to ensure the legality, validity, enforceability or admissibility inevidence in South Africa of the Finance Documents to which it is a party; 17.2 Compliance with Laws

Page 56 Comply in all material respects with all laws to which it may be subject, and obtain andcomply with all permits and licenses, In each case, to extent the same are material to itsbusiness. 173 Material Adverse Change Promptly inform the Facility Agent in writing of theoccurrence of any Default forthwith upon becoming aware thereof and from time to time, if sorequested by the Facility Agent in writing, confirm to the Facility Agent in writing that, save aspreviously notified to the Facility Agent or as notified in such confirmation, no such MaterialAdverse Change has occured and/or is continuing. 17.4 Representations and Warranties Notify theFacility Aganist of the occurrence of any event which results in or may reasonably be expected toresult in any of the representations and warranties contained in clause 15 (Warranties andRepresentations) being untrue; 17.5 Maintain insurances on and in relation to its business andassets with reputable underwriters or Insurance companies against those risks and to the extent asis usual for companies carrying on the same or substantially similar business. 17.6 Pari PassuRanking Ensure that at all times the claims of the Finance Parties aganist it under the FinanceDocuments to which it is a party rank at least pari passu with the claims of all its otherunsecured creditors save those whose claims are preferred by any bankruptcy, insolvency,liquidation or other similar laws of general application.
Page 57 17.7 Environmental Compliance Comply in all material respects with all Environmental Lawand obtain and maintain any Environmental Permits and take all reasonable steps in anticipation ofknown or published future changes to or obligations under the same, if failure to do so wouldreasonably be expected to result in a Material Adverse Change. 17.8 Environmental Claims Inform theFacility Agent in writing as soon as reasonably practicable upon becoming aware of the same: 17.8.1if any Environmental Claim has been commenced or (to the best of that Obligors knowledge andbelief) is threatened against any member of the Group; or 17.8.2 of any facts or circumstanceswhich will or are reasonably likely to result in any Environmental Claim being commenced orthreatened against any member of the Group, where the Claim would, if adversely determined, bereasonably likely to result in a Material Adverse Change.

Page 58 17.9 Default At any time after the occurrence of a Default and for so long as it iscontinuing, upon the written request of the Facility Agent with reasonable prior notice, permitrepresentatives of the Finance Parties during normal office hours. to visit and inspect any of thepremises where its business is conducted, to have access to (and copies of) accounts and recordsand shall afford reasonable co-operation at all times to the Finance Parties and suchrepresentatives. 18. NEGATIVE UNDERTAKINGS The Obligors hereby agrees and undertakes that, untilthe Facility Outstandings has been repaid in full none of the Obligors shall, without the priorwritten consent of the Facility Agent: 18.1 Financial Indebtedness 18.1.1 Assume, incur or permitto have outstanding any Financial Indebtedness other than Permitted Indebtedness. 18.1.2 Releaseor waive any indebtedness owed to it by any Related Party other than for valuable marketconsideration. 18.2 Loans and Credit Make any loans, grant any credit (save is the ordinarycourse of business) or give any guarantee or indemnity (except as required hereby) to or for thebenefit of any person or otherwise voluntarily assume any liability, whether actual or contingent,in respect of any obligation of any other person (collectively, Credit) other than: 18.2.1Credit existing at the Signature Date and disclosed in the Original Financial Statements;

Page 59 18.2.2 Permitted Loans; 18.2.3 any guarantee or indemnity given in respect ofPermitted Indebtedness; 18.2.4 Credit granted to any Obligor; 18.2.5 Credit granted forapplication to the Hidden Valley Project. 18.3 Disposals Enter into a single transaction or aseries of transactions (whether related or not) and whether voluntarily or involuntarily to Disposeof any assets other than pursuant to a Permitted Disposal. 18.4 Distributions The Borrower shallnot pay, make or declare, or resolve to pay, make or declare, any Distribution. 18.5 NegativePledge 18.5.1 Save as contemplated by the Finance Documents, not create or permit to subsist anyEncumbrance over any of its assets. 18.5.2 Save as contemplated by the Finance Documents, not:18.5.2.1 sell, transfer or otherwise dispose of any of its assets to any person who is not anObligor on terms whereby they are or may be leased to or re-acquired by it or by any other GroupCompany; 18.5.2.2 sell, transfer or otherwise dispose of any of its receivables on recourse terms;

Page 60 18.5.2.3 enter into any arrangement under which money or the benefit of a bank orother account may be applied, set-off or made subject to a combination of accounts; or 18.5.2.4enter into any other preferential arrangement having a similar effect, in circumstances where thearrangement or transaction is entered into primarily as a method of raising Financial Indebtednessor of financing the acquisition of an asset, 18.5.3 Clauses 18.5.1 and 18.5.2 and do not applyto Permitted Encumbrances or to Permitted Disposals. 18.6 Acquisitions Not acquire a company orany shares or securities or a business or undertaking (or, in each case, any interest in any ofthem), unless acquired in consideration (in whole or part) for a Permitted Disposal as ShareConsideration. 19. FINANCIAL COVENANT 19.1 The Borrower shall ensure that the consolidatedfinancial condition of the Group, as evidenced by the Groups then most recent audited annual orunaudited quarterly interim consolidated financial statements (adjusted, as the Facility Agent may,acting reasonably, consider appropriate, to take account of any changes in circumstances whichoccur after the date as of which such consolidated financial statements were prepared) shall besuch that the Interest Cover Ratio shall not be less than 3 (three) times. 19.2 In this clause 19:19.2.1 Borrowed Money means of any person, without duplicatior; 19.2.1.1 all indebtedness ofsuch person for borrowed -money;

Page 61 19.2.1.2 all Indebtedness of such person under acceptance or documentary creditfacilities; 19.2.1.3 all Indebtedness of such person in respect of receivables sold ordiscounted (otherwise than on a non-recourse basis); 19.2.1.4 all Indebtedness of such personevidenced by bonds debentures, notes or other similar instruments; 19.2.1.5 all Indebtednessof such person to pay the deferred purchase price of property or services If deferred for morethan 60 (sixty) days or where such deferred amount is primarily designed to raise finance,except, in any case, trade accounts payable arising in the ordinary course of business;19.2.1.6 all Indebtedness of such person under any arrangement (including hire purchase andconditional sale agreements) treated as finance leases under IFRS; 19.2.1.7 all Indebtednessof such person in connection with any Derivatives Transaction and so that the amount of suchIndebtedness shall be calculated on a marked-to-market basis; 19.2.1.8 all Indebtedness ofsuch person under any repurchase agreement, put options., call options or other transactionsof any kind (whether or not recognised as borrowing under IFRS) which have the commercialeffect of a borrowing or obtaining of credit; 19.2.1.9 all obligations of such person underredeemable preference shares or equivalent equity; and 19.2.1.10 all Indebtedness of othersfalling within clauses 19.2.1.___to 19.2.1.9 above which is guaranteed by such person;

Page 62 19.2.2 Derivative Transaction means a contract, agreement of transaction which is a rateswap, basis swap, forward rate transaction, bond option, interest rate option, cap, collar orfloor, or any other similar transaction and/or any combination of such transaction, in each case,whether on-exchange or otherwise; 19.2.3 EBITDA means, in respect of any person, and any period,the consolidated operating profit before income tax for such period; 19.2.3.1 (to the extent notalready excluded) before interest received or receivable and interest paid or payable; 19.2.3.2 (tothe extent not already excluded) adjusted to exclude any gain or loss realised on the disposal offixed assets (whether tangible or intangible); 19.2.3.3 (to the extent not already excluded) beforededucting any extraordinary costs and before including extraordinary income; 19.2.3.4 adding backdepreciation, amortisation and impairments to the extent already deducted; and 19.2.3.5 plusdividends received in cash from companies consolidated by the equity method to the extent notalready taken into account; 19.2.4 Interest Cover Ratio means, in respect of any Ratio TestPeriod: 19.2.4.1 EBITDA; 19.2.4.2 divided by Total interest. 19.2.5 Total Interest means, inrespect of any period, the aggregate accruing during such period (without duplication and whetheror not paid or payable within such period) of, in respect of the Group on a consolidated

Page 63 basis (and whether or not the principal or capital obligation by reference to which any ofthe following are determined is an obligation of the Group: 19.2.5.1 all interest, acceptancecommission, guarantee fees and any other continuing, regular or periodic costs and expenses in thenature of interest (whether paid, payable or capitalised) incurred in effecting, servicing ormaintaining Borrowed Money; 19.2.5.2 amounts payable (as reduced by amounts receivable) in respectof any Derivatives Transaction which is an interest tale hedging arrangement entered into to hedgerisks arising in the normal course of business; 19.2.5.3 amounts payable in respect of the R1 700000 000 (one billion seven hundred million Rand) 4,875% (four comma eight seven five percent)convertible bonds (due 2009) issued by the Borrower; 19.2.5.4 the interest element of and ancillaryfees payable under any finance leases. 19.3 All expressions used in the definitions of this clause19 which are not otherwise defined herein shall be construed in accordance with IFRS.

Page 64 20. EVENTS OF DEFAULT 20.1 Events of Default Each of the events set out in this clause20.1 is an Event of Default (whether or not caused by any reason whatsoever outside thecontrol of the Borrower or any other person). 20.1.1 Non-Payment The Borrower fails to pay anysum due from it hereunder at the time, in the currency and in the manner specified herein,unless: 20.1.1.1 its failure to pay is caused by an administrative or technical error; and 201.1.2 payment is made within 2 (two) Business Days of its due date. 20.1.2 Financial CovenantAny requirement of clause 19 (Financial Covenant) is not satisfied. 20.1.3 Other ObligationsSubject to clause 20.2 (Remedy), an Obligor does not comply with any of its obligations whenperformance is due under the Finance Documents (other than those referred to in clause 20.1.1(Non-Payment), clause 20.1.2 (Financial Covenant) and clause 20.1.4 (Security)). 20.1.4Security Any Obligor fails to perform or comply with any of the obligations assumed by it in aSecurity Document to which it is a party.

Page 65 20.1. 5 Misrepresentation Any representation or statement made or deemed to be made by anyObligor in the Finance Documents or any other document delivered by or on behalf of anyObligor under or in connection with any Finance Document is or proved to have been incorrector misleading when made or deemed to be made. 20.1. 6 Insolvency 20.1.6.1 Any Obligor isunable to pay its debts as they fall due, commences negotiations with any one or more of itscreditors with a view to the general readjustment or rescheduling of its indebtedness or makesa general assignment for the benefit of or a composition, or compromise with its creditors.20.1.6.2 Any Obligor takes any corporate action or other steps are taken or legal proceedingsare started by that Obligor for its winding-up (whether provisional or final), dissolution oradministration or for the appointment of a liquidator, receiver, administrator, administrativereceiver, trustee or similar officer of it or of any or all of its revenues and assets.20.1.6.3 Any exceution is levied against, or an encumbrancer takes possession of the whole orany part of, the property, undertaking or assets of any Obligor and Obligor fails within 10(ten) Business Days after becoming aware, or after it should reasonably have become aware, ofsuch execution, and/or possession, as the case may be, to take the necessary steps to havesuch execution, and/or possession, as the case may be, set aside and thereafter successfullypursue such steps with due diligence.

Page 66 20.1.6.4 Any Obligor commits an act defined in terms of Section 344 of the Companies Act,20.1.7 Insolvency Proceedings Any corporate action, legal proceedings or other similar procedure orsteps are taken in relation to: 20.1.7.1 the suspension of payments, a moratorium of anyindebtedness, winding-up, dissolution or administration (by way of voluntary arrangement, scheme ofarrangement or otherwise) of any Obligor other than (in respect of any service of an application,or taking of any similar step for the liquidation, bankruptcy, judicial management, winding-up,dissolution or administration of the Obligor) where such action is dismissed, withdrawn ordischarged within 5 (five) Business Days of its presentation or such step being taken (or, if theObligor demonstrates to the Facility Agents satisfaction within such 5 (five) Business Days periodthat such action is frivolous or vexatious (by way of an opinion by a Senior Counsel of at least 10(ten) years standing, that the relevant Obligor has a reasonable prospect of defending thataction)); 20.1.7.2 a composition, compromise, assignment or arrangement with the creditors of anyObligor; 20.1.7.3 the appointment of a liquidator, receiver, administrator, administrativereceiver, judicial manager, compulsory manager or other similar officer in respect of any Obligoror any of its assets; or 20.1.7.4 enforcement of any security interest over any assets of anyObligor, or any analogous procedure or step is taken in any jurisdiction

Page 67 20.1.8 Failure to comply with Final Judgement Any Obligor fails within 10 (ten) BusinessDays of the due date to comply with or pay any sum due from it under any final judgement or anyfinal order made or given by any court of competent jurisdiction. 20.1.9 Cessation of Business20.1.9.1 Any Obligor suspends, is unable to or ceases for my reason whatsoever to conduct itsnormal line of business in the ordinary and regular manner. 20.1.9.2 Any Obligor sells, transfersor otherwise disposes of in any one transaction or a series of transactions (whether or notrelated), a material portion of its business or changes its asset structure and as a result of thedisposal, it would in the reasonable opinion of the Facility Agent be unable to perform or observeits obligations under any Finance Document to which it is a party. 20.1.10 Cross-Default 20.1.10.1Any indebtedness of any Obligor is not paid when due nor within any originally applicable graceperiod. 20.1.10.2 Any indebtedness of any Obligor is declared to be or otherwise becomes due andpayable prior to a specified maturity as a result of an event of default (however described).2.1.10.3 Any commitment for any indebtedness of any Obligor is cancelled or suspended by a creditorof that Obligor as a result of an event of default (however described).

Page 68 20.1.10.4 Any creditor of any Obligor becomes entitled to declare any indebtedness of anyObligor due and payable prior to its specified maturity as a result of an event of default (howeverdescribed). 20.1.11 Acquisition of Control Any acquisition of Control of any Obligor by any person.20.1.12 Governmental Intervention By or under the authority of any government; 20.1.12.1 themanagement of any Obligor is wholly or substantially replaced or the authority of any Obligor inthe conduct of its business is wholly or substantially curtailed; or 20.1.12.2 all or a majority ofthe issued shares of any Obligor, or the whole or any part of its revenues or assets is seized,nationalised, expropriated or compulsorily acquired. 20.1.13 Repudiation Any Obligor repudiates anyFinance Document to which it is a party. 20.1.14 Failure to Maintain Authorisations At any time anyAuthorisation, act, condition or thing required to be done, fulfilled or performed in order;20.1.14.1 to enable any Obligor lawfully conduct its business, or to enter into, exercise itsrights under and perform the obligations expressed to be assumed by it in any Finance Document towhich it is a party;

Page 6920.1.14.2 to ensure that the obligations expressed to be assumed by any Obligor in anyFinance Document to which it is a party are legal, valid and binding; or 20.1.14.3 to make anyFinance Document to which any Obligor is a party admissible in evidence in South Africa, is notdone, fulfilled or performed. 20.1.15 Unlawfulness It is or becomes unlawful for any Obligor toperform any of its obligations under the Finance Documents to which it is a party other than myobligations which the Facility Agent considers to be not material or which it is satisfied isadequately provided for in any other Finance Document (including a Finance Document which isentered into in replacement of the document under which It was unlawful for such Obligor to performits obligations) or unless the Obligor and the Facility Agent agree within a period of 30 (thirty)days after the occurrence of such unlawfulness or such, unlawfulness comes to the attention of theFacility Agent, whichever is the earlier, to the amendment or restructuring of such financeDocument in order to avoid such unlawfulness. 20.1.16 Material Adverse Change Any event (or anyseries of events) or circumstances occurs (or any existing circumstance continued) which is likelyto result in a Material Adverse Change. 20.2 Remedy 20.2.1 No Event of Default under clause 20.1(Events of Default) (other than those referred to in clauses 20.1.1 (Non-Payment), 20.1.2(Financial

Page 70 Covenant) and 20.1.4 (Security)) will occur if the failure to comply or circumstancegiving rise to the same is capable of remedy and is remedied within 10 (ten) Business Days, orsuch further period as the Lenders may agree, of the Lenders giving notice to the Borrower orany Obligor becoming aware of the failure to comply. 20.2.2 For the purposes of clause20.2.l, the events or circumstances referred to in clause 20.1.6 (Insolvency),clause 20.1.8 (Failure to comply with Final Judgement), clause 20.1,9 (Cessation of Business),clause 20.1.12 (Governmental Intervention), clause 20.1.15 (Unlawfulness) and clause 20.1.16(Material Adverse Change) shall be deemed to be incapable of remedy save to the extent set outtherein, 20.3 Acceleration If any Event of Default occurs which is continuing, the FacilityAgent mat shall be entitled, in its sole discretion and without prejudice to any other rightsor remedies which the Lenders may have under any of the Finance Documents or otherwise interms of South African law, by written notice to the Borrower: 20.3.1 to claim immediatepayment of all Facility Outstanding (including but not limited in capital and interest andamounts in respect of duties, fees and charges owing by the Borrower to the Lenders under theFinance Documents) regardless of whether or not such amounts are then otherwise due andpayable, all of which amounts shall, upon the delivery of such a notice, immediately becomedue and payable; and/or 20.3.2 to declare the Facility Outstanding to be due and payable upondemand; and/or 20.3.3 demand and be entitled to receive specific performance of the relevantobligation of the Finance Documents (if any) breached by the Obligor; and/or

Page 71 20.3.4 take all steps which it regards as desirable in order to enforce, or perfect thesecurity interest created or evidenced by any one or more Security Document; and/or 20.3.5cancel the whole or part of the Facility; and/or 20.3.6 claim payment from the Borrower of anyand all Breakage Costs, damages, costs and other amounts incurred directly as a result of suchEvent of Default less the amount of any Breakage Gains. 20.4 If pursuant to clause 20.3.2 theFacility Agent declares the Facility Outstandings to be due and payable on demand of theFacility Agent then, and at any time thereafter, the Facility Agent may by written notice tothe Borrower call for repayment of the Facility Outstandings mutatis mutandis in accordancewith clause 20.3 on such date as it may specify in such notice (whereupon the same shallbecome due and payable on such date), or withdraw its declaration with effect from such dateas it may specify in such notice. 21. TAXES 21.1 All payments to be made by the Borrower tothe Finance Parties hereunder shall be made free and clear of and without deduction for or onaccount of tax unlessthe Borrower is required to make such a payment subject to the deductionorwithholding of tax, in which case the sum payable by the Borrower in respect ofwhich suchdeduction or withholdings is required to be made shall be increasedto the extent necessary toensure that, after the making of the required deductionor withholding, each Finance Partyreceives and retains (free from any liabilityin respect of any such deduction or withholding)a net sum equal to the sumwhich it would have received and so retained had no such deductionorwithholding been made or required to be made. 21.2 Without prejudice to the provisions ofclause 21.1, if any Finance Party isrequired to make any payment on account of tax (not beinga tax imposed on the

Page 72 net income of the Finance Party by the jurisdiction in which it is incorporated) orotherwise on or in relation to any sum received or receivable by it hereunder (including, withoutlimitation, any sum received or receivable under this clause 21) or any liability in respect of anysuch payment is asserted, imposed, levied or assessed against any Finance Party, the Borrowershall, upon demand, promptly indemnify the Finance Party against such payment or liability,together with any interest, penalties and expenses payable or incurred in connection therewith;save that in respect of any Lenders acceding into this Agreement, such indemnity shall only applyto the extent that the Borrower would have had to indemnify the Original Lender in respect thereofif it were that Lender. 21.3 If any Finance Party intends to make a claim pursuant to clause 21.2,it shall notify the Borrower of the event by reason of which it is entitled to make suchclaim;provided that nothing herein shall require the Finance Party to discloseany confidentialinformation relating to the organisation of its affairs. 21.4 The liability of the Borrower to anyFinance Party in terms of this clause 21 will be reduced by any tax credit granted to the FinanceParty in respect of the taxliabilities referred to in this clause 21. The Finance Parties undertaketodiligently pursue the granting of any such tax credits; provided that, if in theopinion of theFinance Parties they will not be successful in obtaining such taxcredits, the Facility Agent willbe obliged., on written request by the Borrower toobtain an opinion, at the Borrowers cost bySenior Counsel of at least 10 (ten)years standing regarding whether there is a reasonable prospectof success inany such proceedings. In the event that the aforesaid Senior Counsels opinionstatesthat there is a reasonable prospect of success the Finance Parties shall beobliged to pursue thegranting of such tax credits. The Borrower herebyindemnifies and holds the Finance Parties harmlessagainst, and shall on writtendemand pay to the Finance Parties, all reasonable cost incurred bythem inpursuing the granting of such tax credits.

Page 73 22. TAX RECEIPTS 22.1 If, at any time, the Borrower is required by law to make anydeduction or withholding from any sum payable by if hereunder (or if thereafter there is anychangein the rates at which or the manner in which such deductions orwithholdings are calculated), theBorrower shall promptly notify the FacilityAgent. 22.2 If the Borrower makes any payment hereunderin respect of which it is requiredto make any deduction or withholding, it shall pay the fullamount required to bededucted or withheld to the relevant taxation or other authority within thetimeallowed for such payment under applicable law and shall deliver to the FacilityAgent, within 30(thirty) days after it has made such payment to the applicableauthority, an original receipt (or acertified copy thereof) issued by suchauthority evidencing the payment to such authority of allamounts so required tobe deducted or withheld in respect of such payment. 23. INCREASED COSTS 23.1If, by reason of any change in law or in its interpretation or administration and/or compliancewith any request from or requirement of any central bank or other fiscal, monetary or otherauthority applying to banks generally in South Africa (including, without limitation, a request orrequirement which affects the manner in which the Lenders or any holding company of any Lender isrequired to or does maintain capital resources having regard to such Lenders obligations hereunderand to amounts owing to it hereunder): 23.1.1 a Lender or any holding company of a Lender incurs acost as a result of that Lender having entered Into and/or performing its obligations under thisAgreement and/or assuming or maintaining a commitment under this Agreement and/or advancing theFacility; and/or

Page 74 23.1.2 a Lender or any holding company of a Lender is unable to obtain the rate of returnon its overall capital which it would have been able to obtain but for that Lender having enteredinto and/or performing its obligations and/or assuming or maintaining a commitment under thisAgreement; and/or 23.1.3 there is any increase in the cost to a Lender or any holding company of aLender of funding or maintaining the Loan; and/or 23.1.4.1 a Lender or any holding company of aLender becomes liable to make any payment on account of tax or otherwise (not being a tax imposedon the net income of that Lender by the jurisdiction in which it is incorporated and being a taxapplying to banks generally in South Africa) on or calculated by reference to the Advance and/or toany sum received or receivable by it hereunder, then the Borrower shall, from time to time ondemand of the Facility Agent, promptly pay, or shall procure that one or more Obligors pay. to theFacility Agent for the account of that Lender amounts sufficient to indemnify it or any suchholding company against, as the case may be: 23.1.5 such cost; or 23.1.6 such reduction in suchrate of return (or proportion of such reduction as is attributable to its obligations hereunder);or 23.1.7 such increased cost (or such proportion of such increased cost as is attributable to itsfunding or maintaining the Loan); or 23.1.8 such liability. 23.2 If any Lender intends to make aclaim pursuant to clause 23.1, it shall notify the Facility Agent in writing of the event by reasonof which it is entitled to do so

Page 75 and confirming the amount of its claim; provided that nothing herein shall require thatLender to disclose any confidential information relating to the organisation of its affairs.Promptly upon receipt of any notice referred to in this clause 23.2, the Facility Agent shalldeliver such notice to the Borrower. 24. CERTIFICATE OF INDEBTEDNESS A certificate signed by anydirector or manager of the Facility Agent (whose appointment need not be proved) as to theexistence of and the amount of Indebtedness by the Borrower to the Finance Parties, that suchamount is due and payable, the amount of interest accrued thereon and as to any other fact, matteror thing related to the Borrowers Indebtedness to the Finance Parties in terms of this Agreement,shall be sufficient proof of the contents and correctness thereof for the purposes of provisionalsentence, summary judgment or any other proceedings, shall be valid as a liquid document for suchpurpose and shall, in addition, be prima facie proof for purposes of pleading or trial in anyaction instituted by the Finance Parties arising herefrom. 25. SET-OFF The Borrower authorises theFinance Parties to apply any credit balance to which an Obligor is entitled on any account of anObligor with that Finance Party in satisfaction of any sum due and payable by the Borrower to theFinance Parties hereunder but unpaid. No Finance Party shall be obliged to exercise any rightsgiven to it by this clause 25. 26. CHANGE OF PARTY 26.1 No Cession, Delegation or Assignment NoParty may cede or assign any of its rights or delegate or transfer any of its obligations inrespect of any Finance Documents or the Facility Outstandings except as permitted under this clause26.

| Page 7626.2 Assignments and Transfers by the Lenders 26.2.1 Subject to clause 26.3 (Conditions of Cession or Delegation), a Lender (the "Existing Lender") may (at no expense to any Obligor) cede any of its rights and/or delegate any of its obligations under this Agreement and any corresponding rights or obligations under any other Finance Document to any other person without the consent of any Obligor or any other Party (the "New Lender"), and the Obligors hereby expressly consent to any such cession of rights and/or delegation of obligations as contemplated herein. To the extent that any splitting of claims arises as a consequence of any such cession, assignment and/or delegation, as the case may be, the Obligors hereby consents to such splitting of claims.26.3 Conditions of Cession or Delegation26.3.1 A cession or delegation as contemplated in clause 26.2 (Assignment andTransfers by the Lenders) will only be effective if the procedure set out inclause 26.5 (Procedure for Transfer) is compiled with.26.3.2 If:26.3.2.1 a Lender cedes, assigns or transfers any of its rights or obligationsunder the FinanceDocuments; and26.3.2.2 as a result of circumstances existing as at the date on which thecession, assignment, transfer or change occurs, an Obligor would be obliged tomake payment to the New Lender under clause 21 (Taxes) and clause 23 (IncreasedCosts),then the New Lender is only entitled to receive payment under that clause or toenforce or require performance of such obligation to the same extent as theExisting Lender would have been if the cession, assignment, transfer or changehad not occurred. |

| Page 7726.4 Limitation of Responsibility of Existing Lenders26.4.1 Unless expressly agreed to the contrary, an Existing Lender makes norepresentation or warranty and assumes no responsibility to a New Lender for:26.4.1.1 the legality, validity, effectiveness, adequacy orenforceability of the FinanceDocuments or any other documents;26.4.1.2 the financial condition of any Obligor;26.4.1.3 the performance and observance by any Obligor of its obligationsunder the FinanceDocuments or any other documents; or26.4.1 .4 the accuracy of any statements (whether written or oral) made in orin connection withany Finance Document or any other document,and any representations or warranties Implied by law are excluded.26.4.2 Each New Lender confirms to the Existing Lender and the other Finance Partiesthat it:26.4.2.1 has made (and shall continue to make) its own independent investigationand assessment of the financial condition and affairs of each Obligor and itsrelated entities in connection with its participation in the Finance Documentsand has not relied on any Information provided to it by the Existing Lender orany other Finance Party in connection with any Finance Documents; and26.4.2.2 will continue to make its own independent appraisal of thecreditworthiness of each Obligor and its related entities whilst any amount isor may be outstanding under the Finance Documents.26.4.3 Nothing in any Finance Document obliges an Existing Lender to: |

| Page 7826.4.3.1 accept a re-transfer from a New Leader of any of the rights andobligations assigned ortransferred under this clause 26; or26.4.3.2 support any losses directly or indirectly incurred by the New Lender byreason of the non-performance by any Obligor of its obligations under theFinance Documents or otherwise.26.5 Procedure for Transfer26.5.1 Subject to the conditions set out in clause 26.3 (Conditions of Cessionor Delegation) a transfer is effected in accordance with clause 26.5.2 when theFacility Agent:26.5.1.1 executes an otherwise duly completed Cession and DelegationAgreement delivered to itby the Existing Lender; and26.5.1.2 a duly completed Accession Undertaking is delivered to it bythe Existing Lender("Transfer Date").26.5.2 On the Transfer Date:26.5.2.1 to the extent that in the Cession and Delegation Agreement the ExistingLender seeks to transfer by Cession and Delegation its rights and obligations inwhole or part ("Transferred Rights and Obligations") under the FinanceDocuments, the Existing Lender shall be released from the Transferred Rights andObligations;26.5.2.2 each of the Obligors and the New Lender shall assume theTransferred Rights andObligations towards one another;26.5.2.3 the Facility Agent, the New Lender and the other Landers shall acquirefee same rights and assume the same obligations between themselves as they wouldhave acquired and assumed had the New |

| Page 79Lender been an Original Lender with the rights and/or obligations acquired orassumed by it as a result of the transfer and to that extent the ExistingLenders shall each be released from further obligations to each other under theFinance Documents; and26.5.2.4 the New Lender shall become a party to the relevant Finance Documentsas a"Lender".26.6 Copy of Cession and Delegation Agreement to the BorrowerThe Facility Agent shall, as soon as reasonably practicable after it hasexecuted a Cession and Delegation Agreement, send to the Borrower a copy of thatCession and Delegation Agreement and Accession Undertaking.26.7 Disclosure of Information26.8 Any Lender may disclose to any of its affiliates and any other person:26.8.1 to (or through) whom that Lender cedes, assigns or transfers (or maypotentiallyassign or transfer) all or any of its rights and obligations under the finance Documents;26.8.2 with (or through) whom that Leader enters into (or may potentially enterinto) any sub-participation in relation to, or any other transaction under whichpayments are to be made by reference to, the Finance Documents or any Obligor;or26.8.3 to whom, and to the extent that, information is required to be disclosed byany applicable law or regulation,any information about an Obligor, the Group and the Finance Documents as thatLender shall (acting reasonably) consider appropriate for the purpose of thatactual or potential cession, assignment, transfer or sub-participation if, in |

| Page 80relation to clauses 26.8.1 and 26.8.2, the person to whom the information is tobe given has entered into a Confidentiality Undertaking in favour of therelevant Obligor(s) or Group Company(ies).26.9 No Change of ObligorNo Obligor shall cede, assign or transfer any of its rights or delegate any ofits obligations under any Finance Document.27. INTEREST ON ARREAR AMOUNTS AND INDEMNITY27.1 Interest calculated at the Default Interest Rate shall accrue on theoutstanding balance of all amounts due and payable but unpaid by the Borrowerfrom time to time in terms of this Agreement. Such interest shall be calculatedon a daily basis from the due date of each such overdue amount to (butexcluding) date of payment thereof, shall be compounded monthly in arrears andshall be paid by the Borrower on demand.27.2 The Borrower hereby indemnifies and holds the Finance Parties harmlessagainst any costs, claim, loss, expense (including legal fees on the scale asbetween attorney and own client) or liability together with any VAT thereon,which they may sustain or incur as a consequence of the occurrence of anyDefault by the Borrower in the performance of any of the obligations expressedto be assumed by it in this Agreement. |

| Page 8128. FACILITY AGENT28.1 Appointment of the Facility Agent28.1.1 Each of the Lenders appoints the Facility Agent to act as its agent underand in connection with the Finance Documents, and authorises the Facility Agentto exercise the rights, powers, authorities and discretions specifically givento the Facility Agent under or in connection with the Finance Documents togetherwith any other incidental rights, powers, authorities and discretions.28.1.2 Notwithstanding anything to the contrary in this Agreement, the FinanceParties shall, act through the Facility Agent as contemplated in this clause 28.28.1.3 There shall be no change to the Facility Agent without the Borrower's writtenconsent.28.2 Duties of the Facility Agent28.2.1 The Facility Agent shall promptly forward to a Party the original or acopy of any document which is delivered to the Facility Agent for that Party byany other Party.28.2.2 Except where a Finance Document specifically provides otherwise, theFacility Agent is not obliged to review or check the adequacy, accuracy orcompleteness of any document it forwards to another Party.28.2.3 If the Facility Agent receives notice from a Party referring to thisAgreement, describing a Default and stating that the circumstance described is aDefault, it shall promptly notify the other Finance Parties. |

| Page 8228.2.4 If the Facility Agent is aware of the non-payment of any principal,interest or fee payable to a Finance Party (other than the Facility Agent) underthis Agreement it shall promptly notify the other Finance Parties.28.2.5 The Facility Agent's duties under the Finance Documents are solelymechanical and administrative in nature.28.2.6 Nothing in this Agreement constitutes the Facility Agent as a fiduciaryof any other person.28.2.7 The Facility Agent shall not be bound to account to any Lender for any sum ortheprofit element of any sum received by it for its own account.28.3 Business with the GroupThe Facility Agent may accept deposits from, lend money to and generally engagein any kind of banking or other business with any member of the Group.28.4 Rights and discretions28.4.1 The Facility Agent may rely on:28.4.1.1 any representation, notice or document believed by it to be genuine,correct and appropriately authorised; and28.4.1.2 any statement made by a director, authorised signatory or employee ofany person regarding any matters which may reasonably be assumed to be withinhis knowledge or within his power to verify.28.5 The Facility Agent may assume (unless it has received notice to thecontrary in its capacity as agent for the Lenders) that:28.5.1 no Default has occurred (unless it has actual knowledge of a Default); |

| Page 8328.5.2 any notice or request made by the Borrower is made on behalf of and with theconsent and knowledge of all the Obligors.28.6 The Facility Agent may engage, pay for and rely on the advice or servicesof any lawyers, accountants, surveyors or other experts.28.7 The Facility Agent may act in relation to the Finance Documents through itspersonneland agents.28.8 The Facility Agent may disclose to any other Party any information itreasonably believes it has received as agent under this Agreement.28.9 Notwithstanding any other provision of any Finance Document to thecontrary, the Facility Agent is not obliged to do or omit to do anything if itwould or might in its reasonable opinion constitute a breach of any law orregulation or a breach of a fiduciary duty or duty of confidentiality.28.10 Majority Lenders' instructions28.10.1 Unless a contrary indication appears in a Finance Document, the Facility Agent shall:28.10.1.1 exercise any right, power, authority or discretion vested in it asFacility Agent in accordance with any instructions given to it by the MajorityLenders (or, if so instructed by the Majority Lenders (as defined in theIntercreditor Agreement), refrain from exercising any right, power, authority ordiscretion vested in it as Facility Agent); and28.10.1.2 not be liable for any act (or omission) if it acts (or refrains fromtaking any action) in accordance with an instruction of the Majority Leaders; |

| Page 8428.10.2 Until the Intercreditor Agreement is entered into, all references to"Majority Lenders" in clause 28.10.1 shall be deemed to be a reference to theOriginal Lender.28.10.3 Unless a contrary indication appears in a Finance Document, anyinstructions given by the Majority Lenders will be binding on all the Lenders.28.10.4 The Facility Agent may refrain from acting in accordance with theinstructions of the Majority Lenders (or, if appropriate, the Lenders) until ithas received such security as it may require for any cost, loss or liability(together with any associated VAT) which it may incur in complying with theinstructions.28.10.5 In the absence of instructions from the Majority Lenders, (or, ifappropriate, the Lenders) the Facility Agent may act (or refrain from takingaction) as it considers to be in the best interest of the Leaders.28.10.6 The Facility Agent is not authorised to act on behalf of a Lender(without first obtaining that Lender's consent) in any legal or arbitrationproceedings relating to any Finance Document. This clause 28.10.6 shall notapply to any legal or arbitration proceeding relating to the perfection,preservation or protection of rights under the Transaction Security Documents orenforcement of the Transaction Security or Transaction Security Documents.28.11 Responsibility for documentationThe Facility Agent is sot:28.11.1 responsible for the adequacy, accuracy and/or completeness of any information(whether oral or written) supplied by the Facility Agent, or an |

| Page 85Obligor or any other person given in or in connection, with any Finance Documentor the transactions contemplated in the Finance Documents; or28.11.2 responsible for the legality, validity, effectiveness, adequacy orenforceability of any Finance Document or the Transaction Security or any otheragreement, arrangement or document entered into, made or executed inanticipation of or in connection with any Finance Document or the TransactionSecurity.28.12 Exclusion of liability28.12.1 The Facility Agent will not be liable for any action taken by it underor in connection with any Finance Document or the Transaction Security, unlessdirectly caused by its gross negligence or wilful misconduct.28.12.2 Nothing in this Agreement shall oblige the Facility Agent to carry outany "know your customer" or other checks required pursuant to the FinancialIntelligence Centre Act, 2002 in relation to any person on behalf of any Lenderand each Lender confirms to the Facility Agent that it is solely responsible forany such checks it is required to carry out and that it may not rely on anystatement in relation to such checks made by the Facility Agent.29. CONFIDENTIALITY29.1 Save with the prior written consent of the Borrower to the contrary, eachFinance Party will keep confidential and will not disclose to any person:29.1.1 the details of any Finance Document, the details of the negotiationsleading to any Finance Document, and the information handed over to such Partyduring the course of negotiations and the Term, as well as the details of allthe transactions or Agreements contemplated in any Finance Document; and |

| Page 8629.1.2 all information relating to the business or the operations and affairs of the Group, (together "Confidential Information").29.2 The Finance Parties agree to keep all Confidential Information confidentialand to disclose it only to their officers, directors, employees, consultants,shareholders, professional advisers and any person to whom any Finance Partywishes to cede any of its rights or delegate any of its obligations under any ofthe Finance Documents who:29.2.1 have a need to know (and then only to the extent that each such personhas a need to know);29.2.2 are aware that the Confidential Information should be kept confidential;29.2.3 are aware of the disclosing Party's undertaking in relation to such information in termsofthis Agreement; and29.2.4 have been directed by the disclosing Party to keep the ConfidentialInformation confidential and have undertaken to keep the ConfidentialInformation confidential.29.3 The Finance Parties confirm that all employees, officers and directors arecontractually bound to maintain confidentiality and shall procure that eachconsultant, shareholder and/or professional advisor enters in a confidentialityundertaking in favour of the Borrower on substantially the same terms andconditions as this clause 29.29.4 The obligations of the Finance Parties in relation to the maintenance andnon- disclosure of Confidential Information in terms of this Agreement do notextend to information that: |

| Page 8729.4.1 is disclosed to the receiving Party in terms of this Agreement but at thetime of such disclosure such information is known to be in the lawful possessionor control of that Party and not subject to an obligation of confidentiality; or 29.4.2 is or becomes public knowledge, otherwise than pursuant to a breach ofthis Agreement by the Finance Party (or its offices, directors or employee) whoreceived such Confidential Information; or29.4.3 is required by the provisions of any law, statute or regulation or duringany court proceedings, or by the rules or regulations of any recognised stockexchange to be disclosed and subject to the provisions of clause 29.5, the Partyrequired to make the disclosure has taken all reasonable steps to oppose orprevent the disclosure of and to limit, as far as reasonably possible, theextent of such disclosure and has consulted with the other Parties prior tomaking such disclosure.29.5 Before any announcement or statement is made as required by any law, statute or regulation, or the rules or regulations of any recognised stock exchange, the affected Party shall use its reasonable endeavours to provide the other Parties with a written draft of the proposed announcement or statement at least 48 (forty-eight) hours before the proposed time of the announcement and the Parties shall also use their reasonable endeavours to agree the wording and timing of all public announcements and statements relating to Confidential Information. If a written draft of the proposed announcement cannot be provided to the other Parties or agreement cannot be reached, by the time that any such announcement or statement must be made, the Party in question shall be free to make the relevant announcement or statement notwithstanding that such agreement has not been reached, but in so doing it shall not disclose more than the minimum information that it is compelled to disclose. Copies of any public announcement or statement shall be given to the other Party in the most expeditious manner reasonably available. |

| Page 8829.6 The Finance Parties each agree to notify the Borrower in the event of adisclosure of the Confidential Information under clause 29.4.3, or upon a breachof this clause 29 coming to the relevant Finance Party's knowledge.29.7 If so requested by the Borrower in writing, the Finance Parties shall usereasonable endeavours to enforce their rights against any offices, director ,employee and/or representative who breaches clause 29.2. 29.8 The provisions of this clause 29 shall survive the termination of this Agreement, but shall terminate 24 (twenty-Four) months from the termination of this Agreement. 29.9 The Finance Parties acknowledge that some or all of theConfidential Information is or may be price-sensitive information and that theuse of such information may be regulated or prohibited by applicable legislationrelating to insider dealing, and the Finance Parties shall not use any of theConfidential Information for unlawful purposes.30. FEES AND EXPENSES30.1 FeesThe Borrower shall pay to the Original Lender on the Advance Dale the fees contemplated inthe FeeLetter, in the amounts agreed and on the dales stipulated therein.30.2 Exit Fees30.2.1 Should the Borrower pre-pay any sum pursuant to clause 10 (Prepayment)and such prepayment is not funded by way of;30.2,1,1 cash generated by the business operations of the Group; and/or3 0.2.1.2 a Permitted Disposal; and/or |

| Page 8930.2.1.3 the raising of ordinary share capital,the Borrower shall pay to the Lenders an exit fee in an amount equal to 1% (onepercent) of the Facility Outstandings should the prepayment occur on a datefalling before the 1st (first) anniversary of Financial Close, plus VAT thereonon the date of prepayment pursuant to clause 10 (Prepayment).30.3 Expenses 30.3.1 The Borrower shall pay to, or at the direction of, the Facility Agent all reasonable expenses (including legal expenses on the scale as between attorney and own client printing and out-of-pocket expenses) incurred by the Finance Parties in connection with the negotiation, preparation and completion of the Finance Documents and an related documents, including without limitation all fees and expenses payable to the Legal Adviser, within 30 (thirty) days of Invoice.30.3.2 The Borrower shall on demand pay to, or at the direction of, the FacilityAgent all expenses (including legal and out-of-pocket expenses on the attorneyand own client scale), charges and disbursements and fees of a like nature,including all taxes, incurred by the Finance Parties in preserving, enforcing ordefending, or attempting to preserve, enforce or defend, any of their rightsunder the Finance Documents or any such related documents, save where theBorrower successfully disputes that the Finance Parties are entitled to enforceany such rights. |

| Page 9030.4 Stamp DutyThe Borrower shall pay all stamp, documentary and other similar duties and taxesto which any of the Finance Documents or any such related documents may besubject or give rise and Indemnifies the Finance Parties from and against anylosses or liabilities which the Finance Parties may incur as a result of anydelay or omission by the Borrower to pay any such duties or taxes.30.5 Value Added TaxThe amounts stated in the Finance Documents to be payable by the Borrower areexclusive of VAT and accordingly the Borrower shall pay on demand:30.5.1 any VAT property chargeable in respect of services to the Borrower ascontemplated by any of the Finance Documents (including any VAT chargeable by aFinance Party under the Finance Documents);and30.5.2 any VAT chargeable in the case of goods or services supplied to, or othercosts, fees and expenses incurred by, a Finance Party in connection with theFinance Documents and which are to be met by the Borrower or in respect of whichthe Borrower has agreed to indemnify the Finance Party.3.1. NOTICES AND DOMlCILIA 31.l Notices31.1.1 Each Party chooses the address set out opposite its name below as itsaddress to which any written notice in connection with this Agreement may be addressed.31.1.1.1 Original Lender: 4th Floor, F Block 135 Rivonia Road Sandown SANDTON |

| Page 91 Telefax No.: (011) 295 3902 Attention Head; Project Management31.1.1.2 Facility Agent: 4th Floor, F Block 135 Rivonia Road Sandown SANDTON Telefax No.: (011) 295 3902 Attention : Head: Project Management31.1.1.3 Borrower: Block 27 Randfontein Office Park Cnr Main Reef Road and Ward Avenue RANDFONTEIN Telefax No.: (011) +27 11 411 2070 The Attention : Company Secretary31.1.2 Any notice or communication required or permitted to be given in terms ofthis Agreement shall be valid and effective only if in writing but it shall becompetent to give notice by telefax transmitted to its telefax number set outopposite its name above.31.1.3 Either Party may by written notice to the other Party change its chosenaddress and/or telefax number for the purposes of clause 31.1.1 to any otheraddress and/or telefax number, provided that the change shall become effectiveon the 14th (fourteenth) day after the receipt of the notice by the addressee.31.1.4 Any notice to a Party contained in a correctly addressed envelope anddelivered by hand to a responsible person during ordinary business hours |

| Page 92 at its chosen physical address in terms of clause 31.1.1, shall bedeemed tohave been received on the day of delivery.31.1.5 Any notice by telefax to a Party at its telefax number shall be deemed tohave been received on the 1st (first) Business Day after the date oftransmission.31.1.6 Notwithstanding anything to the contrary hereto contained, a writtennotice or communication actually received by a Party shall be an adequatewritten notice or communication to it, notwithstanding that it was not sent toor delivered at its chosen address and/or telefax number.31.2 Domicilia31.2.1 Each of the Parties chooses its physical address referred to in clause31.1 (Notices) as its domicilium citandi et executandi at which documents inlegal proceedings in connection with this Agreement may be served.31.2.2 Either Party may by written notice to the other Party change itsdomicilium from time to time to another address, not being a post office box ora poste restante, in South Africa; provided that any such change shall only beeffective on the 14th (fourteenth) day after deemed receipt of the notice by theother Party pursuant to clause 31.1.4 (Notices) or 31.1.5 (Notices), as the casemay be.32. GOVERNING LAWThe entire provisions of this Agreement shall be governed by and construed inaccordance with the laws of South Africa. |

| Page 9333. JURISDICTIONThe Parties hereby irrevocably and unconditionally consent to the non-exclusivejurisdiction of the Witwatersrand Local Division of the High Court of SouthAfrica (or any successor to that division) in regard to all matters arising fromthis Agreement.34. SEVERABILITYEach provision in this Agreement is severable from all others, notwithstandingthe manner in which they may be linked together or grouped grammatically, and ifin terms of any judgment or order, any provision, phrase, sentence, paragraph orclause is found to be defective or unenforceable for any reason, the remainingprovisions, phrases, sentences, paragraphs and clauses shall neverthelesscontinue to be of full force. In particular, and without limiting the generalityof the aforegoing, the Parties hereto acknowledge their intention to continue tobe bound by this Agreement notwithstanding that any provision may be found to beunenforceable or void or voidable, in which event the provision concerned shallbe severed from the other previsions, each of which shall continue to be of fullforce.35. GENERAL35.1 35.1 This document constitutes the sole record of the agreement between the Partiesin regard to the subject matter thereof.35.2 35.2 No Party shall be bound by any express or implied term, representation,warranty, promise or the like, not recorded herein.35.3 No addition to, variation or consensual cancellation of this Agreement andno extension of time, waiver or relaxation or suspension of any of theprovisions or terms of this Agreement shall be of any force or effect unless inwriting and signed by or on behalf of all the Parties. |

| Page 9435.4 No latitude, extension of time or other indulgence which may be given orallowed by any Party to any other Party in respect of the performance of anyobligation hereunder or enforcement of any right arising from this Agreement andno single or partial exercise of any right by any Party shall under anycircumstances be construed to be an implied consent by such Party or operate asa waiver or a novation of, or otherwise affect any of that Party's rights interms of or arising from this Agreement or estop such Party from enforcing, atany time and without notice, strict and punctual compliance with each and everyprovision or term hereof.35.5 The Parties undertake at all times to do all such things, to perform allsuch acts and to take all such steps and to procure the doing of all suchthings, the performance of all such actions and the taking of all such steps asmay be open to them and necessary for or incidental to the putting into effector maintenance of the terms, conditions and import of this Agreement.35.6 Save as is specifically provided in this Agreement, no Party shall beentitled to cede, assign or delegate any of its rights or obligations under thisAgreement without the prior written consent of the other Parties affected bysuch transfer of rights or obligations, which consent may not unreasonably bewithheld or delayed.36. COUNTERPARTSThis Agreement may be executed in any number of counterparts and by differentParties hereto in separate counterparts, each of which when so executed shall bedeemed to be an original and all of which when taken together shall constituteone and the same Agreement. THE NEXT PAGE IS THE SIGNATURE PAGE |
| SIGNED at SANDTON on this the27TH day of SEPTEMBER 2007 For and on behalf of NEDBANK LIMITED (acting through its NEDBANK CAPITAL division) (as "Original Lender and" and "Facility Agent") /s/ M R WESTER Name: M R WESTER Capacity: Authorized Signatory Who warrants his authority hereto /s/ Brad Maxwell Name: Brad Maxwell Capacity: AUTHORIZED SIGNATORY Who warrants his authority hereto |
| SIGNED at SANDTON on this the 27TH day ofSEPTEMBER 2007' For and on behalf of HARMONY GOLD MINING COMPANY LIMITED (as "Borrower")/s/ Frank AbbottName: Frank AbbottCapacity: DirectorWho warrants his authority hereto |
| SIGNED at SANDTON on this the 27TH day ofSEPTEMBER 2007 For and on behalf of AFRICAN RAINBOW MINERALS GOLD LIMITED (as "Guarantor") /s/ Frank Abbott Name: Frank Abbott Capacity: Director Who warrants his authority hereto |
| SIGNED at SANDTON on this the 27TH day ofSEPTEMBER 2007For and on behalf ofEVANDER GOLD MINES LIMITED(as "Guarantor")/s/ Frank AbbottName: Frank Abbott Capacity: Director Who warrants his authority hereto |
| SIGNED at SANDTON on this the 27TH day ofSEPTEMBER 2007 For and on behalf of ARMGOLD/HARMONY JOINT INVESTMENT COMPANY (PROPRIETARY) LIMITED(as "Guarantor")/s/ Frank AbbottName: Frank AbbottCapacity: DirectorWho warrants his authority hereto |
| SIGNED at SANDTON on this the 27TH day ofSEPTEMBER 2007 For and on behalf of ARMGOLD/HARMONY FREEGOLDJOINT VENTURE COMPANY(PROPRIETARY) LIMITED(as "Guarantor")/s/ Frank AbbottName: Frank AbbottCapacity: DirectorWho warrants his authority hereto |
| SIGNED at SANDTON on this the 27TH day ofSEPTEMBER 2007For and on behalf ofRANDFONTEIN ESTATES LIMITED(as "Guarantor")/s/ Frank AbbottName: Frank AbbottCapacity: DirectorWho warrants his authority hereto |
| SIGNED at SANDTON on this the 27TH day ofSEPTEMBER 2007 For and on behalf of AVGOLD LIMITED (as "Guarantor")/s/ Frank AbbottName: Frank AbbottCapacity: DirectorWho warrants his authority hereto |

| SCHEDULE 1CONDITIONS Part 1: Advance Condition Documents 1. The Borrower 1.1 A Copy of the Constitutional Documents of the Borrower. 1.2 A copy of a resolution of the board of directors of the Borrower: l.2.1 approving the terms of, and the transactions contemplated by, the Finance Documents to which it is a party and resolving to execute those Finance Documents; 1.2.2 authorising a specified person or persons to execute the Finance Documents to which it is a party on its behalf; and 1.2..3 authorising a specified person or persons, on its behalf, to sign and/or despatch all documents and notices to be signed and/or despatched by it under or in connection with the Finance Documents to which it is a party. 1.3 A specimen of the signature of each person authorised by the resolution referred to in paragraph 1.2.1.4 A certificate signed by an Authorised Signatory of the Borrower confirming that borrowing the Available Facility would not cause any borrowing or similar limit in its Constitutional Documents binding on it to be exceeded.1.5 A certificate by an Authorised Signatory of the Borrower certifying that the copy of each document referred to in paragraphs 1.1 to 1.4 (both inclusive) is correct, complete and in full force and effect as at a date no earlier than the Signature Date.1.6 A certificate of an Authorised signatory of the Borrower stating that: |

| 1.6.1 the representations andwarranties given by the Borrower in clause 15 (Warranties and Representations) of this Agreement shall be correct in all material respects at Financial Close; and 1.6.2 no Default shall have occurred at the date of Financial Close which is continuing. 2. The Guarantors 2.1 A copy of the Constitutional Documents of each Guarantor. 2.2 A copy of a resolution of the board of directors or other governing body of each Guarantor: 2.2.1 approving the items of, and the transactions contemplated by, the Finance Documents to which it is a party and resolving :to execute those Finance Documents; .2.2.2 authorising a specified person or persons, to execute the Finance Documents to which it is a party on its behalf; and 2.2.3 authorising a specified person or persons, on its behalf, to sign and/or despatch all documents and notices to be signed and/or despatched by it under or in connection with the Finance Documents to which it is a party.2.3 A specimen of the signature of each person authorised by the resolution referred to in paragraph 2.1.2.4 A certificate signed by an Authorised Signatory of each Guarantor confirming that guaranteeing the Facility Outstandings would not cause any guaranteeing or similar limit in its Constitutional Documents binding on it to he exceeded.2.5 A certificate by an Authorised Signatory of each Guarantor certifying that the copy of each document referred to in paragraphs 2.1 to 2.4 (both inclusive) is correct, complete and in full force and effect as at a date no earlier than the Signature Date.2.6 A certificate by an Authorised Signatory of each Guarantor stating that the representations and warranties given by that Guarantor in clause 15 (Warranties and Representations) of this Agreement shall be correct in all material respects at Financial Close. |

| 3. Legal opinions3.1 A legal opinion from Cliffe Dekker Inc. addressed to the Lender relating, inter alia, to the due execution by each Obligor of the Finance Documents to which it is a party, and the authority of each Obligor to enter into the Finance Documents to which it is a party. 4. Finance Documents 4.1. A duly executed original of each of the following: 4.1.1 this Agreement; 4.1.2 the cession in securitatem debiti and pledge of' the Subsidiaries' Shares and the Deposit Account by the Borrower in favour of the Finance Parties; 4.1.3 the cession in securitatem debiti and pledge of ARMgold's shares in ARMgold/Harmony Joint Investment Company (Proprietary) Limited and ARMgold/Harmony Freegold Joint Venture Company (Proprietary) Limited by ARMgold in favour of the finance Parties.4.2 Each of the following in relation to shares pledged pursuant to the Security Documents: 4.2.1 the original share certificates in respect of such shares; 4.2.2 an original share transfer form duly signed by the pledgor of such shares and blank as to transferee; and 4.2.3 a resolution of the directors of the company, the shares, of' which are pledged, acknowledging such pledge and agreeing to give effect to any transfer of such shares pursuant to the terms of such pledge.4.3 All notices required to be delivered and all acknowledgements required to be received under the terms of any Security Document.5. Financial Information A copy of the Original Financial Statements. |
| 6. Fee LetterThe execution of the Fee LetterPart 2: Advance ConditionsThe Lenders shall only Be obliged to make the Advance in terms of this Agreement it1. no Default shall:2. the warranties and representations made in clause 15 (Warranties andRepresentations)of this Agreement shall be correct and willl be correct in all materialrespects immediately after the making of the Advance;3. in the reasonable opinion of the Facility Agent there has been no Material, Adverse Change in either the borrower or any of the Obligors: since the date of the Original Financial Statements which could be expected to affect the ability of theBorrower to .fulfil its obeligation in terms of the Finance Documents in an adverse manner4. in the reasonable opinion of the Facility Agent there has been no material Adverse Change since the Signature Date. |
| SCHEDULE 2 THE GUARANTORS 1. African Rainbow Minerals Gold Limited; 2. Evander Gold Mines Limited;3. ARMgold/Harmony Joint Investment Company (Proprietary) Limited; 4.ARMgold/Harmony Freegold Joint Venture. Company (Proprietary) Limited;5. Randfontein Estates Limited; 6. Avgold Limited; |
| SCHEDULE 3DISCLOSED ENCUMBRANCES Nil |
| SCHEDULE 4 DISCLOSED INDEBTEDNESS1. R1 700 000 000 (one billion seven hundred million Rand) 4,875% (four comma eight seven five percent) convertible bonds (due 2009) issued by the Borrower2. As per Annexure 4.1 |

| Annexure 4.1HARMONY GOLD MINING COMPANY LIMITEDREGISTER OF GUARANTEESJun-07 Enviormental OtherCompany Terement Number Benefictory Issued Amount Amount R RHarmony Gold 85909929320 AECT Limited 30-Nov-00248,794.00Mining CompanyHarmony Gold 810200502259 Department of 30-Nov-02 40,000.00Mining Company Mineral and EnergyHarmony Gold 81020206926 Department of 25-Jun-02 21,5000,000.00Mining Company Mineral and EnergyHarmony Gold 81020206930 Department of 25-Jun-02 3,700,000.00Mining Company Mineral and EnergyHarmony Gold 81020206931 Department of 25-Jun-02 2,300,000.00Mining Company Mineral and EnergyKalptots 81020208977 Department of 28-Aug-02 650,000.00 Mineral and EnergyRandfontain M326752 Eskom 28-Feb-98 31,000.00Estates LimitedRandfontain M326753 Eskom 02-Feb-98 77,000.00Estates LimitedRandfontain Eskom 24-Mar-92 12,200.00Estates LimitedRandfontain Telkom 31-Oct-89148,680.00Estates LimitedRandfontain Telkom 31-Oct-90136,332.00Estates LimitedRandfontain Snyman Van Der 20-Mar-97431,000.00Estates Limited Hssver IncorporatedRandfontain M333565 Rand Fontain 12-Jan-89 16,129.00Estates Limited MulticipalityRandfontain M351047 Rand Fontain 02-Dec-86 74,221.00Estates Limited MulticipalityRandfontain M351138 South African 02-May-84200,000.00Estates Limited Transport ServicesRandfontain M354951 City of 07-Jul-89 4,000.00Estates Limited JohannasburgRandfontain M359617 Department of 12-Apr-99 20,000.00Estates Limited Mineral and EnergyRandfontain M432371 / Department of 23-Feb-04 25,000.00Estates Limited M312525 Mineral and(new) EnergyWest Rand M300820 Department of 24-Oct-96 10,000.00Consolidated Mines Mineral and EnergyWest Rand M379315 Department of 05-May-00 30,000.00Consolidated Mines Mineral and EnergyWest Rand M312529 Department of 26-Jul-97 25,000.00Consolidated Mines Mineral and EnergyWest Rand M312457 Department of 28-Jul-97 10,000.00Consolidated Mines Mineral and EnergyWest Rand M308362 Department of 28-May-97 5,000.00Consolidated Mines Mineral and EnergyWest Rand Eskom 01-Oct-98700,000.00Consolidated MinesWinkelhook Mines S13615 / MS Council of 10-Jul-03250,000.00Limited GRV 4232957 Nuclear SafetyWinkelhook Mines S13616 / MS Eskom 10-Jul-03246,500.00Limited GRV 4232987Winkelhook Mines S13617 / MS Eskom 10-Jul-03268,900.00Limited GRV 4232983Winkelhook Mines S13618 / MS Eskom 10-Jul-03 64,000.00Limited GRV 4233989Winkelhook Mines MS GRV V Eskom 10-Jul-03266,610.00Limited* 2047977Winkelhook Mines S13619 / MS Eskom 10-Jul-031,117,450.00Limited GRV 4233002Winkelhook Mines S13620 / MS Eskom 10-Jul-03310,050.00Limited GRV 4233009Winkelhook Mines S13621 / MS Eskom 10-Jul-031,346,600.00Limited GRV 4233013Winkelhook Mines S13622 / MS Eskom 10-Jul-03868,850.00Limited GRV 4233018Winkelhook Mines S13623 / MS Eskom 10-Jul-03272,000.00Limited GRV 4233021Winkelhook Mines MS GRV 4233023 Eskom 10-Jul-03336,200.00Limited*Winkelhook Mines S13624 / MS Eskom 10-Jul-03 45,500.00Limited GRV 4233046Winkelhook Mines 208617 / S15065 Eskom 25-Apr-02370,600.00Limited*Winkelhook Mines 208618 / S15064 Eskom 25-Apr-021,269,818.00Limited*Leslie Golg Mines S13625 / MS Eskom 10-Jul-03624,400.00Limited GRV 4233050Leslie Golg Mines S13626 / MS Eskom 10-Jul-03334,100.00Limited GRV 4233053Leslie Golg Mines S13627 / MS Eskom 10-Jul-03 89,800.00Limited GRV 4233055Leslie Golg Mines S13628 / MS Eskom 10-Jul-03371,460.00Limited GRV 4233067Leslie Golg Mines S13629 / MS Eskom 10-Jul-032,019,750.00Limited GRV 4233070Leslie Golg Mines S13630 / MS Eskom 10-Jul-031,750.000.00Limited GRV 4233074Leslie Golg Mines S13631 / MS Eskom 10-Jul-03555,700.00Limited GRV 4233080Leslie Golg Mines 7580296 Council of 14-Nov-95250,000.00Limited* Nuclear SefetyEvander Gold S13632 / MS Els Chaster & 10-Jul-03170,894.09Mining Company GRV 4233083 LowerFree Gold - St 81020211331 Deparment of 35,000 000.00Heleno (new) Mineral and EnergyFree Gold - St 81020211331 Deparment of 13,400 000.00Heleno (new) Mineral and EnergyFree Gold - St Eskom 40,000.00Heleno (new)Free Gold - St Nuclear Safety250,000.00Heleno (new)Free Gold - St Water Supply2,206,186.00Heleno (new) 76,715 000.0017,768,724.09 |
| SCHEDULE 5 DISCLOSED LOANSA loan still to be advanced to Pamodzi Gold Limited by the Borrower of aprincipal amount not exceeding R33 000 000 (thirty three million Rand); providedthat the funds to be advanced are received by the Borrower pursuant to theexercise of the Borrower's put option to sell certain preference shares held bythe Borrower to Pamadzi Resources (Proprietary) Limited for an amount of notless than R57 000 000 (fifty-seven million Rand). |
| SCHEDULE 6 DISCLOSED POTENTIAL ENVIRONMENTAL CLAIMThe Borrower has been advised that the Department of Water Affairs and Forestry("DWAF") may issue a directive in terms of the National Water Act, 1998 toentities who are conducting or who have conducted mining activities in theWonderfontein Catchment area, which entities may include the Borrower and/or oneor more Group Companies, relating to the alleged contamination of WonderfonteinSpruit and the rehabilitation and remediation thereof. |
| SCHEDULE 7 TRANSACTION SECURITY1. Cession in security of the Borrower's right, title and interest in and to the Subsidiaries' Shares, the Subsidiaries' Loans and the Deposit Account, and pledge of the Subsidiaries' Shares by the Borrower in favour of the Finance Parties on a joint and several basis. Cession in security of ARMgoId's right, title and interest in and to its shares in ARMgold/Harmony Joint Investment Company (Proprietary) Limited and ARMgold/Harmony Freegold Joint Venture Company (Proprietary) Limited (the "ARMgold Shares") and pledge of the ARMgold Sharer by ARMgold in favour of theFinance Parties on a joint and several basis. |

| SCHEDULE 8 FORM OF COMPLIANCE CERTIFICATE To: Nedbank Limited (acting through its Nedbank Capital division) (as "Lender") 135 Rivonia Road Sandown 2196 Attention: [o] And to: [o] (as Lender) And to: [insert] [Date] Dear Sirs SENIOR FACILITY AGREEMENT ENTERED INTO BETWEEN inter alia NEDBANK LIMITED (ACTING THROUGH ITS NEDBANK CAPITAL division), HARMONY GOLD MINE LIMITED ("BORROWER") AND VARIOUS SUBSIDIARIES OF THE BORROWER DATED [ ] 2007 (the "Facility Agreement")1. We refer to the Facility Agreement This is a Compliance Certificate, and terms used in this Compliance Certificate have the same meaning as in the Facility Agreement.2. This Compliance Certificate is in respect of the Ratio Test Period ended [ ] (being the Ratio Test Date), pursuant to clause 19 (Financial Covenant) of the CTA.3. We confirm that in respect of the Ratio Test Date: As Calculated Covenant Compliance (Yes/No) Interest Cover Ratio4. [We confirm that no Default is continuing.]** If this statement cannot be made, the Certificate should identify any Defaultthat is continuing and the steps, if any, being taken to remedy it. |
| For and on behalf of HARMONY GOLD MINING COMPANY LIMITEDName: Capacity: Who warrants his authority hereto |

| SCHEDULE 9 FORM OF LENDER'S ACCESSION UNDERTAKING ACCESSION UNDERTAKINGTo: Nedbank Limited (acting through its Nedbank Capital division) (as "Facility Agent") 135 Rivonia Road Sandown 2196 Attention: [o]From: [Insert full name of New Lender] (the "New Lender")[Date]Dear SirsSENIOR FACILITY AGREEMENT ENTERED INTO BETWEEN inter alia NEDBANK LIMITED(ACTING THROUGH ITS NEDBANK CAPITAL DIVISION), HARMONY GOLD MINE LIMITED("BORROWER") AND VARIOUS SUBSIDIARIES OF THE BORROWER DATED [ ]2007 (the"Facility Agreement")1. We refer to the Facility Agreement2. This is an Accession Undertaking, and terms used in this AccessionUndertaking have the same meaning as in the Facility Agreement.3. This Accession Undertaking is delivered to Nedbank as the Facility Agentpursuant to clause 26 (Change of Party) of the Facility Agreement4. In consideration of the New Lender being accepted as a Lender for thepurposes of the Facility Agreement, and the other relevant Finance Documents (ifany) pursuant to the Facility Agreement, the New Lender hereby confirms that, asfrom the date of acceptance of this Accession Undertaking by the ExistingLenders, it: |

| 4.1 intends to be Party to the FacilityAgreement and the other relevant FinanceDocuments as a Lender;4.2 undertakes to perform all the obligations expressed in the FacilityAgreement, and the other relevant Finance Documents (if any) to be assumed by aLender to the extent that such obligations have been delegated to the New Lenderas described in the Cession and Delegation Agreement relating to this AccessionUndertaking;4.3 agrees that It shall be bound by all the provisions of the FacilityAgreement and the other relevant Finance Documents (if any) as if it had been anoriginal party to those Finance Documents as a Lender; and4.4 accepts the benefits conferred upon the Lenders under the Finance Documents,including in particular the Security Documents.5. This Accession Undertaking may be executed in any number of counterparts andthis has the same effect as if the signatures on the counterparts were on asingle copy of this Accession Undertaking.6. This Accession Undertaking shall be governed by and construed in accordancewith the laws of South Africa. For and on behalf of[NEW LENDER]- ----------------------------Name:Capacity:Who warrants his authority heretoFor and on behalf ofNEDBANK LIMITED (acting through its Nedbank Capital division)(as "Facility Agent")- ----------------------------Name:Capacity:Who warrants his authority hereto |

| SCHEDULE 10 AGREED FORM OF CESSION AND DELEGATION AGREEMENTTHIS SALE, CESSION AND DELEGATION AGREEMENT is dated _______and made BETWEEN: (1) [.] (the "New Lender"); and (2) [.] (the "New Lender"); and (3) NEDBANK LIMITED (acting through its Nedbank Capital division) (as"Facility Agent"). IT IS AGREED as follow: 1. INTERPRETATION 1.1 In this Agreement, unless inconsistent with the context, all capitalised terms shall have the respective meanings assigned to such terms below, all capitalised terms for which no meanings have been assigned herein shall have the meanings assigned to them in the Senior Facility Agreement, and cognate terms shall have corresponding meanings: 1.1.1 "this Agreement" means this Agreement, together with all schedules and appendices hereto and any written and signed amendments to the aforementioned; 1.1.2 "the Borrower" means Harmony Gold Mining Company Limited (Registration No. 1950/038232/06), a public company, incorporated under the laws of South Africa; 1.1.3 "the Effective Date" means, notwithstanding the Signature Date [o]; 1.1.4 "Effective Date Facility Outstanding" means the aggregate principal amount owing by the Borrower to the Existing Lender under the Senior Facility Agreement as at the Effective Date which has not been prepaid or repaid irrevocably, unconditionally and in full; |

| 1.1.5 "Existing Lender" means[o], (Registration No. [INSERT]), a [public] company incorporated under the laws of South Africa; 1.1.6 "Facility AgENT" means Nedbank: 1.1.7 "nacm" means nominal annual compounded monthly in arrear; 1.1.8 "Nedbank" means Nedbank Limited (acting through its Nedbank Capital.. . division) (Registration No. 1951/000009/06), a public company incorporated under the laws of South Africa, which is registered as a bank in terms of the Banks Act, 1990; 1.1.9 ":the New Lender" means [.] (Registration No. [o]), a [public] company incorporated under the laws of South Africa; 1.1.10 "Parties" Means the Existing Lender and the New Lender and "Party" means, as the context requires, either of them; 1.1.11 "the Prime Rate" means the nacm prime overdraft rate of interest from time to time publicly quoted as such by Nedbank, calculated on a 365 (three hundred and sixty five) day factor, irrespective of whether or not the year is a leap year, as certified by an manager of Nedbank, whose appointment as such it shall not be necessary to prove, which certificate shall serve as prima facie proof of its contents; 1.1.12 "Senior Facility Agreement" means the written agreement titled the "senior Facility Agreement", entered into between Nedbank, the Borrower and the Guarantors as listed in Schedule 2 thereto on or about [ ] 2007 1.1.13 "the Signature Date" means the date of last signature of this Agreement; 1.1.14 "the Sold Rights and Obilgations" means that amount of the Existing Lender's right, title and interest: 1.1.14.1 under the Finance Documents insofar as they relate to the Facility; 1.1.14.2 to the Effective Date Facility Outstandings; as stipulated in Annexure "A" as being sold by the Existing Lender to the New Lender; |

| 1. 1.15 "South Africa" means theRepublic of South Africa; 1.1.15.1 any reference to the singular includes the plural and vice versa; 1.1.15.2 any reference to natural persons includes legal persons and vice versa; 1.1.15.3 any reference to a gender includes the other genders; 1.1.15.4 any reference to an enactment is to that enactment as at the Signature Date and as amended or re-enacted from time to time. 1 .2 If any definition contains a substantive provision conferring rights or imposing obligations on any party, effect shall be given to it as if it asubstantive provision in the body of this Agreement, notwithstanding that it is only inthe definition clause.1.3 Words and expressions defined in any sab-clause shall, for the purposes of the clause of which that sub-clause forms part, bear the meaning assigned to such words and expressions in that sub-clause.1.4 The headnotes to the clauses of this Agreement have been inserted for reference purposes only and shall in no way govern or affect the interpretation hereof. 1.5 When any number of days is prescribed, same shall be reckoned inclusively of the first and exclusively of the last day. 1.6 Reference to day/s shall be construed as any day, irrespective of whether or not It Is a Business Day. 1,7 Reference to month/s means a period starting on one day in a calendar month and ending on the day preceding the numerically corresponding day in the next calendar month, except that:1.7.1 if the day preceding such numerically corresponding day is not a Business Day, that period shall end on the next Business Day in that next calendar month if there is one, or if there is not, on the immediately preceding Business Day; and1.7.2 if there is on numerically corresponding day in the next calender month, that period shall end on the last Business Day in such next calendar month; |

| 1.8 Reference to calendar month/s shallbe construed as one or more of the twelve named periods into which a year is divided in terms of the Gregorian calendar.1.9 Where any act is to performed on a day which is not a Business Day, such act shall be performed on the Business Day immediately preceding such day. 1.10 Where figures are referred to in numerals and in words, if there is any conflict between the two, the words shall prevail. 2. SALE AND PURCHASE The Existing Lender hereby sells to the New Lender, which hereby purchases from the Existing inder, with effect from the Effective Date, the Sold Rights and Obligations 3. PURCHASE PRICE 3.1 As consideration for the sale of the Sold Rights and Obligations, the New Lender shall pay to the Existing Lender the amount of R [ ]( [ ])("the purchase price") which shall be paid by the New Lender to the Exising Lender on the Effective Date in immediately available funds, free of any deductions, exchange or other charges by electronic transfer into the following bank account: Account name Bank : Branch : Code: Account Number:3.2 The purchase price shall, if it is not paid on the Effective Date, bear interest from the Effective Date to the date of payment at the Prime Rate.3.3 The Parties record that the sale of the Sold Rights and Obligations pursuant to this Agreement is the transfer of a "debt security" (as defined in Section 2(2) of the VAT Act) and is accordingly exempt from VAT under Section 12(a) of the VAT Act.3.4 Notwithstanding the provisions of clause 3.3, if the sale of the Sold Rights and Obligations is subject to VAT, the purchase price shall be deemed to be |

| 3.5 exclusive of VAT, which shall bepayable by the New Lender to the Existing Lender against delivery by the Existing Lender to the New Lender of a valid tax invoice in respect thereof. 4. DELIVERY4.1 Against payment by the New Leader to the Existing Lender of the purchase price as provided for in clause 3, and with effect on the Effective Date, the Existing Lender hereby; 4.1.1 cedes, assigns and transfers the Sold Rights and Obligations to the New Lender; and 4.1.2 delegates to the New Leader all of the Existing Lender's obligations under the Finance Documents to the extent related to the Sold Rights and Obligations, without recourse to the Existing Lender.4.2 The New Lender hereby accepts: 4.2.1 the cession, assignment and transfer of the Sold Rights and Obligations to the New Lender; and 4.2.2 the delegation to the New Lender of the Existing Lender's obligations under the Finance Documents to the extent related to the Sold Rights and Obligations, which obligations the New Lender hereby assumes; without recourse to the Existing Lender.4.3 The New Lender hereby irrevocably binds itself in favour of the parties to each of the Finance Documents to the terms of the Finance Documents, as if it had been a party thereto and any Finance Party shall be entitled to accept the benefit of this clause 4.3 and any other benefits conferred on it in terms of this Agreement at any time.4.4 It is recorded that the Obligors have, in terms of clause 26.2 (Change of Party) of the Senior Facility Agreement, consented to the cession and delegation herein recorded. |

| 5. DELIVERY OF NOTICE The Facility Agent shall, within 5 (five) Business Days from the Effective Date, despatch written notices to the Obligors and to any Lender which is not a party hereto of the sale, cession, assignment and transfer; of the Sold Rights and Obligations Pursuant to this Agreement. 6. REPRESENTATIONS AND WARRANTIES 6.1 Each party represents and warrants to the other party on the Signature Date, the Effective Date and on each day between those dates that: 6.1.1 it is a company duly organised and existing under the laws of the jurisdiction in which it is incorporated; 6.1.2 it has the power to enter into and to exercise its rights and perform its obligations under this Agreement; 6.1.3 all corporate and other actions required to authorise the execution of this Agreement by it and the performance by it of its obligations under this Agreement have been duly taken; 6.1.4 the obligations expressed to be assumed by it in this agreement legal and valid obllgations binding on it in accordance with the respective terms thereof; 6.1.5 the execution of this Agreement and the exercise by it of its rights and the performance of its obligations under this Agreement do not and will not conflict with; 6.1 .5.1 any agreement to which it is a party or which is binding on it or any of its assets; 6.1.5.2 its coastitutive documents and rules and regulations; or 6.1.5.3 any applicable law, regulation or official or judicial order, 6.2 The Existing Lender hereby represents and warrants to the New Lender on the Signature Date, the Effective Date and on each day between those.dates that:6.2.1 to the best of its knowledge and belief, the Finance Documents have not been terminated or cancelled and are of full force and effect; |

| 6.2.2 it has the right to sell and cede,assign and transfer the Sold Rights and Obligations to the New Lender; 6.2.3 the Sold Rights and Obligations are capable of being sold and ceded, assigned and transferred to the New Lender free of any encumbrances; 6.2.4 prior to the cession, assignment and transfer of the Sold Rights and Obligations recorded in this Agreement, it has not ceded, assigned or transferred any of the Sold Rights and Obligations to any person; 6.2.5 no Obligor has been released by it from its obligations under the Finance Documents, provided that, save as set out in this clause 6.2, the Existing Lender gives no representations or warranties express or implied in connection with the sale of the Sold Rights and Obligations pursuant to this Agreement. 7. LIMITATIONS7.1 Unless expressly agreed to the contrary in this Agreement, the Existing Lender makes no representation or warranty and assumes no responsibility to the New Lender for: 7.1.1 the legality, validity, effectiveness, adequacy or enforceability of the Finance Documents or any other documents; 7.1.2 the financial condition or creditworthiness of any Obligor: 7.1.3 the performance and observance by any Obligor of its obligations under the Finance Documents or any other documents; 7.1.4 the accuracy of any representations, warranties or statements (whether written or oral) by any Obligor made in or in connection with any of the Finance Documents or any other document. and any representations or warranties implied by law are excluded.7.2 The New Lender confirms to the Existing Lender that it:7.2.1 has made (and shall continue to make) its own independent investigation and assessment of the financial condition and affairs of the Obligors in connection with its participation in the Finance Documents and has not relied on any information provided to it by the Existing |

| 7.2.2 Lender in connection with any of theFinance Documents or on any representation or warranty made by the Existing Lender other than those set out in clause 6; and 7.2.3 will continue to make its own independent appraisal of the creditworthiness of the Obligors whilst any amount is or may be outstanding under the Finance Documents. 7.3 Nothing in any of the Finance Documents or this Agreement obliges the Existing Lender to: 7.3.1 accept a re-transfer from the New Leader of any of the rights ceded, assigned and transferred and obligations delegated under this Agreement; 7.3.2 support any losses directly or indirectly incurred by the New Lender by reason ofthe non-performance by any Obligor of its obligations under the Finance Documents or otherwise; or 7.3.3 provide the New Lender with any credit or other information concerning the affairs, financial condition or business of any Obligor or any other third party. 8. NOTICES AND DOMICILIA8.1 The parties choose domicilia citandi et executandi for all purposes under this Agreement, whether in respect of court process, notices or other documents or communications of whatsoever nature, the following, addresses: 8.1.1 the Existing Lender at [ ]; 8.1.2 the New Lender at [ ].8.2 A party may change that party's address for this purpose to another physical address in South Africa, by notice in writing.8.3 All notices shall be in writing and be deemed (unless the contrary is proved) to havebeen duly given -8.3.1 on delivery, if delivered to the addressee's physical address; |

| 8.3.2 on the Business Day after dispatch,if sent to the party's then telefax number; 8.3.3 1 (one) Business Day after delivery, if delivered by a recognised internationalcourier service to the addressee's physical address. 8.4 Notwithstanding anything to the contrary contained in this Agreement, a written notice or communication actually received by one of the parties from another including by way of telex or facsimile transmission shall be adequate written notice or communication to such party.9. GENERAL 9.1 No variation of this Agreement shall be of any force and effect unless reduced to writing and signed by the parties or their authorised Facility Agents.9.2 No failure or delay on the part of a party to exercise any power, right or remedy under this Agreement shall operate as a waiver thereof, nor shall any single or partial exercise by a party of any power, right or remedy preclude other or further exercise thereof or the exercise of any power, right or remedy. The remedies provided in this Agreement are cumulative and are not exclusive of any remedies provided by law.9.3 This Agreement, together with all the annexures and schedules thereto, constitutes the whole agreement between the parties and there are no warranties, promises, representations or inducements, whatsoever, which have been made by or on behalf of any party regarding the subject matter hereof, unless such warranties, promises, representations are contained herein.9.4 All legal costs, charges and disbursements incurred by any party in successfully enforcing or defending any provisions of this Agreement or any claim or action thereunder, shall be payable by the unsuccessful party on the scale as between attorney and his own client.9.5 Each party shall bear its own costs and expenses in connection with the negotiation and drafting of this Agreement.10. GOVERNING LAW This Agreement and all matters or disputes incidental thereto or arising therefrom shall in all respects be governed by and construed in accordance with the laws of South Africa, including all matters of construction, validity and performance. |

| 11. COUNTERPARTS If any of the parties or the signatories of any of the parties signs this Agreement in counterparts, the counterparts, taken together, shall constitute one agreement. 12. SEVERABILITY Each phrase, sentence, paragraph and clause in this Agreement is severable, the one from the other, notwithstanding the manner in which they may be linked together or grouped grammatically and if in terms of any judgment or order any phrase, sentence, paragraph or clause is found to be defective or unenforceable for any reason the remaining phrases, sentences, paragraphs and clauses as the case may be, shall nevertheless be and continue to be of full force and effect. 13. COSTS13.1 If, in any legal or arbitration proceedings relating to the enforcement by either party of its rights in terms of this Agreement, a court or arbitrator awards costs to any party, such costs shall be determined and recoverable on the scale as between an attorney and own client and shall include collection charges, the costs incurred by such party in endeavouring to enforce such rights prior to the institution of legal or arbitration proceedings and the costs incurred in connection with the satisfaction or enforcement of any judgement on arbitration award in favour of such party in relation to its rights in terms of or arising out of this Agreement.13.2 Each of the parties shall bear its own costs of and incidental to the negotiation, preparation and signature of this Agreement. |
| SIGNED at _________________________ on this the______ day of _____________ 2007 Name: Capacity: Who warrants his authority hereto |
| SIGNED at _________________________ on this the______ day of _____________ 2007 Name: Capacity: Who warrants his authority hereto |
| ANNEXURE "A" ANNEXURE "A" TO CESSION AND DELEGATION AGREEMENT Effective Date Facility Outstandings: R [o ]Sold Rights AND Obligalsons to New Lender : R[o] Commitment of Existing Lender after the Effective Date: R [o] |

| SCHEDULE 11 FORM OF CONFIDENTIALITY UNDERTAKING To: [Insert Name Of Potential New Lender.]| Re: The Agreement: Borrower: Date: Amount: Agent: Dear SirsSENIOR FACILITY AGREEMENT ENTERED INTO BETWEEN inter alia NEDBANK CAPITAL (A DIVISION ofNEDBANK LIMITED ), HARMONY GOLD MINE LIMITED: f("BORROWER") AND VARIOUS SUBSIDIARIES OF THE BORROWER: DATED [ ] 2007 We understand that you ARE CONSIDERING [ACQUIRING]1/[arranging the acquisition of]2 an INTEREST in The Facility (the. "Acquisition") In consideration of US agreeING TO make available to YOU certain INFORMATION, by YOUR signature of a copy of this LETTER you agree as follows: 1. in this letter, terms defined in the facility Agreement shall, unless the context otherwise requires, have the same meaning and the words and expressions set forth below shall bear the following meanings and cognate expressions shall bear corresponding meanings; 1.1 " Confidential Information" means any informations relating to the Borrowers, the Group, the Facility Agreement and/or the Acquisition provided to you by us or any of our affitiates or advisers, in whatever form, and includes information given orally and any document, electronic file or any other way of representing or recording information which contains or is derived or copied from such information but excludes information that: 1 Delete if addressee is acting as broker or agent 2 Delete ifaddressee is acting as principal |

| 1.1.1. is or becomes publicknowledge other than as a direct or indirect result of any breach of this letter; or 1.1.2 is known by you before the date the information is disclosed to you by us or any of our affiliates or advisers or is lawfully obtained by you thereafter, other than from a source which is connected with the Group and which, in either case, as far as you are aware, has not been obtained in violation of and is not otherwise, subject to, any obligation of confidentiality; 1.2. "Permitted Purpose" means [subject to the terms of this letter, passing on information to a prospective purchaser for the purpose off considering and evaluating whether to enter into the Acquisition and. 1.3 "Purchaser Group" means you, and each of your affiliates, 2. confidentiality Undertaking You undertake:2.1 undertake to keep the Confidential Information confidential and not to disclose it to anyone except as provided for by paragraph 2.2 and to ensure that the Confidential Information is protected with security measures and a degree of care that would apply to your own confidential information,2.2 Undertake to use the Confidential Information only for the Permitted Purpose,2.3 undertake to use all reasonable endeavours to ensure that any person to whom you pass any Confidential information (unless disclosed under paragraph [2.2 or]4 2.3) acknowledges and complies 'with the provisions of this letter as if that person were .also a party to it, and2.4 confirm that all of your employees, officers and directors are contractually bound to maintain confidentiality and shall procure that.should any employee. officer or director not be so bound that such employee enters into a confidentiality undertaking in favour of the Borrower on substantially the same terms and conditions set out in this letter; 3 Delete if addressee is acting as principal. 4 Delete as applicable. |
| 2.5 undertake to procure that eachprofessional advisor, shareholder and/or consultant enters into a confidentiality undertaking in favour of the Borrower on substantially the same terms and conditions as set out in this letter. |

| 3. Permitted Disclosure We agree that you may disclose Confidential Information: 3.1 to members of the Purchaser Group and their officers, directors, employees and professional advisers to the extent necessary for the Permitted Purpose and to any auditors of members of the Purchaser Group, to the extent that they have undertaken to keep the Information Confidential; 3.2 [subject to the requirements of the Facility Agreement, in accordance with the Permitted Purpose so long as any prospective purchaser has delivered a letter to you in equivalent form to this letter.] 3.3 subject to the requirements of the Facility Agreement, to any person to (or through) whom you assign or transfer (or may potentially assign or transfer) all or any of the rights, benefits and obligations which you may acquire under the Facility Agreement or with (or through) whom you enter into (or may potentially enter into) any sub-participation in relation to, or any other transaction under which payments are to be made by reference to, the Facility Agreement or the Borrowers or any member of the Group so long as that person has delivered a letter to you in equivalent from to this letter; and 3.4 where requested or required by any court of competent jurisdiction or any competent judicial, governmental, supervisory or regulatory body; 3.5 where required by the rules of any stock exchange on which the shares or other securities of any member of the Purchaser Group are listed or; 3.6 where required by the laws or regulations of any country with jurisdiction over the affairs of any member of the Purchaser Group. 4. Notification of Required or Unauthorised Disclosure You agree (to the extent permitted by law) to inform us of the full circumstances of any disclosure under paragraph 2.4 or upon becoming aware that Confidential Information has been disclosed in breach of this letter. 5. Return of Copies If we so request in writing, you shall return all Confidential Informations supplied to you by us and destroy or permanently erase all copies of Confidential Information made by you and use all reasonable endeavours to ensure that anyone to whom you have supplied any Confidential Information destroys or permanently erases such Confidential Information and any copies made by them, in each case save to the extent |

| that you or the recipients are required toretain any such Confidential Information by any applicable law, rule or regulation or by any competent judicial, governmental, supervisory or regulatory body or in accordance with internal policy, or where the Confidential Information has been disclosed under paragraph 2.4. 6. Continuing Obligations The obligations in this letter are continuing and, in particular, shall survive the termination of any discussions or negotiations between you and us. Notwithstanding the previous sentence, the obligations in this letter shall cease: 6.1 if you become a party to or otherwise acquire (by assignment or sub-participation) an interest, direct or indirect, in the Facility Agreement 6.2 24 (twenty-four) months from the date of this letter. 7. No Representation, Consequences of Breach, etc You acknowledge and agree that neither we [nor our principal]5 nor any member of the Group nor any of our or their respective officers, employees or advisers (each a "Relevent Person"): 7.1 make any representation or warranty, express or implied, as to, or assume any responsibility for the accuracy, reliability or completeness of any of the Confidential Information or any other information supplied by us or the assumptions on which it is based or 7.2 shall be under any obligation to update or correct any inaccuracy in the Confidential Information or any other information supplied by us or be otherwise liable to you or any other person in respect to the Confidential Information or any such information; and 7.3 we [or our principal]6 or members of the Group may be irreparably harmed by the breach of the terms hereof and damages may not be an adequate remedy; each Relevant Person may be granted an injunction or specific performance for any threatened or actual breach of the provisions of this letter by you. 5 Delete if letter is sent out by the Seller rather than the Seller's broker or agent. 6 Delete if letter is sent out by the Seller rather than the Seller's broker or agent. |

| 8. Sole Agreement, No Implied Terms, No Variation,Extensions and Waivers 8.1 This letter constitutes the sole record of the agreement between is and you (each, a "Party", and collectively the "Parties") in regard to the subject matter hereof. 8.2 No Party shall be bound by any express or implied term, representation, warranty, promise or the like, not recorded in this letter. 8.3 No addition to, variation or consensual cancellation of this letter and no extension of time, waiver or relaxation or suspension of any of the provisions or terms hereof shall be of any force or effect unless in writing and signed by or on behalf of all the Parties. 8.4 No latitude, extension of time or other indulgence which may be given or allowed by any Party to any other Party in respect of the performance of any obligation hereunder or enforcement of any right arising from this lettter and no single or partial exercise of any right by any Party shall under any circumstances be construed to be an implied consent by such Party or operate as a waiver or a novation of, or otherwise affect any of that Party's rights in terms of or arising from this letter or estop such Party from enforcing, at any time and without notice, strict and punctual compliance with each and every provision or term hereof.9. Inside InformationYou acknowledge that some or all of the Confidential Information is or may beprice-sensitive information and that the use of such information may beregulated or prohibited by applicable legislation relating to insider dealingand you undertake not to use any Confidential Information for any unlawfulpurpose.10. Nature of UndertakingsThe undertakings given by you under this letter are givern to us and (without itimplying any fiduciary obligations on our part) are also given by the benefit of[our principal]7 the Borrowers and each other member of the Group.11. Governing Law and Jurisdiction 11.1 This letter (including the agreement constituted by your acknowledgment of itsterms) shall be governed by and construed in accordance with the laws of South7 Delete if letter is sent out by the Seller rather than the Seller's broker or agent. |
| 1l.2 Africa and the parties submit to thenon-exclusive jurisdiction of the Witwatersrand Local Division of the High Court of South Africa (or any successor to that Division) in regard to all matters arising from this letter. 11.3 Please acknowledge your agreement to the above by signing and returning the enclosed copy. |
| Yours faithfullyFor and on behalf of[Seller/Seller's agent/broker]To: [Seller] [Seller's agent/broker] The Borrowers and each other member of the GroupWe acknowledge and agree to the above.For and on behalf of[Potential Purchaser/Purchaser's agent/broker] |

| SCHEDULE 12 PRO FORMA MANAGEMENT ACCOUNTTotal SA summary - monthlySouth Africa PRODUCTION Jul-07Aug-07 Quality ounces 1 - Tons Milled 488,215482,764 2 - Recovery Grade 5.235.79 3 - Kilograms Produced 2,5512,795 4 - Working Cost per Kg 121,199107,227 5 - Working Cost per Ton 633621 Growth projects 6 - Tons Milled 130,987142,097 7 - Recovery Grade 5.335.39 8 - Kilograms Produced 698766 9 - Working: Cost per Kg 146,833..128,836 10 - Working Cost per Ton 783695 Leveraged ounces 11 - Tons Milled 322,483401,826 12 - Recovery Grade 3.784.10 13 - Kilograms Produced 1,2191,648 14 - Working Cost per Kg 194,534161,583 I5 - Working Cost per Ton 735663 OpenCast 16 -Tons Milled 120,003115,328 17 - Recovery Grade 1.662.12 18 - Kilograms Produced 199.67244.25 I9 - Working Cost per Kg 95,847126,072 20 - Working Cost per Ton 159267 Surface St. Clean Up 21 -Tons Milled 762,815733,036 22 - Recovery Grade 0.300.30 23 - Kilograms Produced 226.29217.74 24 - Working Cost per Kg 85,77589,682 25 - Working Cost per Ton25 27 26 Total Kilograms Produced 4,894.085,671.48 27 R/Kg - Revenue 149,071154,803 28 R/Kg - Working Costs 140,445126,082 29 R/Ton Working Costs 377381 |

| FINANCIAL Quality ounces 30 - Revenue 380,556433,337 31 - Production Costs 309,215299,705 32 - Total U/g Profit/(Loss) 71,341133,632 Growth projects 33 - Revenue 104,234118,75034 35 - Production Costs 102,51098,707 - Total U/g Profit/(Loss) 1,72420,042 Leveraged ounces 36 - Revenue 181,624254,620 37 - Production Costs 237,074266,337 38 - Total U/g Profit/(Loss) (55,450)(11,717) Opencast 39 - Revenue 29,49837,588 40 - Production Costs 19,13830,793 41 - Total U/g Profit/(Loss) 10,360..6,795 Surface 42 - Revenue 33,65433,668 43 - Production Costs 19,41019,527 44 45 - Total Surface Profit/(Loss) 14,24414,141 Total Working Profit/(Loss) 42,219162,893 Capital expenditure Quality ounces 46 - On-going development 42,86346,016 47 - Project capital 38,95530,335 Growth projects 48 - On-going development 10,91412,392 49 - Project capital 70,45664,232 Leveraged ounces 50 - On-going development 25,24328,179 51 - Project capital 8,6658,385 Opencast 52 - Project capital 4391,903 53 Total - OGD 79,02186,586 54 Total - Project capital 118,515104,855 |
| SCHEDULE 13 LAST TAX RETURN YEAR Company Latest submitted returns1. Harmony Gold Mining Company Limited 20012 Armgold 20053 Evander 20054 ARMgold /Harmony Joint Investment Company 2005 ARMgold / Harmony Freegold Joint Venture5 Company 20056 Avgold Limited 20027 Randfontein Estated Limited 2001 |